|
学习小专题 |
版权申明:凡是署名为“化学自习室”,意味着未能联系到原作者,请原作者看到后与我联系(邮箱:79248376@qq.com)!
【导读】环氧乙烷与H₂O的反应是亲核加成反应,其本质是环氧乙烷的三元张力环(不饱和体系)被H₂O(亲核试剂)打开,H和OH分别加成到环氧乙烷上,生成乙二醇,无副产物,这与取代反应的特征完全不符。

一、加成反应与取代反应的核心区别:看原子、基团的结合方式

二、环氧乙烷与水反应的机理:亲核加成
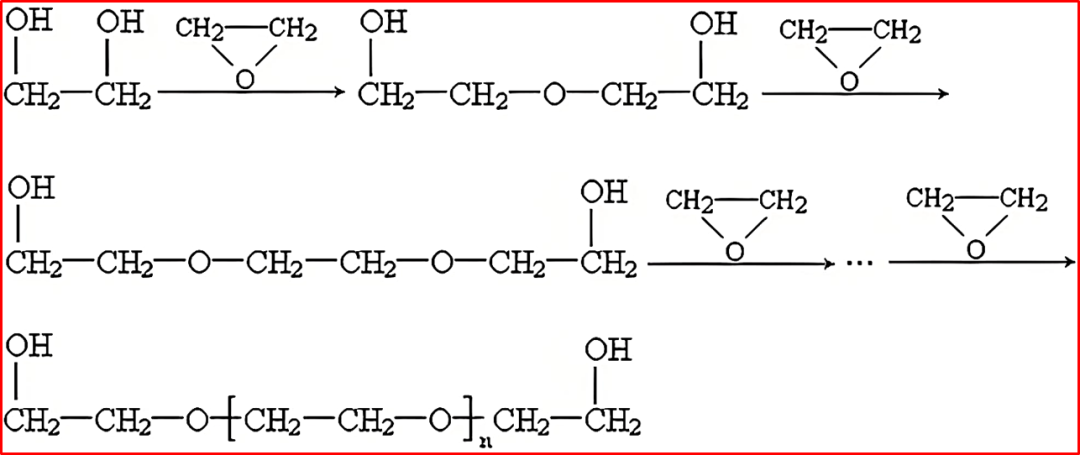
环氧乙烷C₂H₄O是一种简单的小分子环醚,在常温下是无色易燃易爆的有毒气体。其分子结构是一个三元环醚,三元环的键角仅约60°(远小于sp³杂化碳的正常键角109.5°),其环状结构存在巨大的角张力,导致C-O键极易断裂(“不饱和性的体现”,类似双键的活泼性),容易被亲核试剂进攻而开环。
H₂O分子中的氧原子在酸性或碱性条件下,可以作为亲核试剂进攻环氧乙烷,其中酸催化反应机理如下:
①质子化:环氧乙烷中的一个氧原子先被酸提供的质子(H⁺)质子化,形成一个带正电荷的氧鎓离子。这进一步增加了环的张力,使其更容易受到攻击。
②亲核进攻:H₂O分子(亲核试剂)从背面进攻环氧环中空间位阻较小的末端碳原子(SN2机理的特点)。
③开环:C-O键断裂,三元环开环。
④去质子化:生成的产物是一个带正电荷的中间体,迅速失去一个质子(H⁺),最终生成乙二醇(HOCH₂CH₂OH)。

整个过程的核心是:水分子的两个部分(H和OH)分别加到环氧乙烷分子中,打开不稳定的环状结构,生成了一个新的、更大的分子(乙二醇)。完全符合加成反应“不饱和体系开环、试剂片段分别加成、生成一个加成产物”的核心特征。

三、为什么不是取代反应?
取代反应的基本定义:有机分子中的一个原子或基团被另一个原子或基团所取代。
如果认为环氧乙烷与水发生取代反应,可能会是水中的羟基(-OH)取代了环氧乙烷中的某个部分,并释放出一个像“-H”或“-CH₂CH₂O-”这样的小分子。
但事实并非如此,在环氧乙烷与水的反应中没有小分子被取代下来。H₂O分子是完整地“加成”了上去;反应物中的所有原子都保留在最终产物中。一个环氧乙烷(C₂H₄O)加上一个H₂O分子,生成了一个乙二醇(C₂H₆O₂),所有原子都得到了保留。

环氧乙烷与其他亲核试剂的反应:环氧乙烷不仅能与水发生亲核加成,还能与氨(NH₃)、醇(ROH)等发生类似的反应,分别生成乙醇胺、乙二醇醚等重要的化工产品。
欢迎订阅网站动态,手机扫一扫就可以。
欢迎使用化学自习室APP,扫码就可下载。【导读】环氧乙烷与HO的反应是亲核加成反应,其本质是环氧乙烷的三元张力环(不饱和体...
在干燥的HCl气体或无水强酸催化下,醛不仅能与两分子的一元醇发生亲核加成—取代反应...
为什么硫醇和硫酚酸性大于相对应的醇和酚,主要有以下两个原因: 硫醇和硫酚中的硫,...
一、吡咯的结构 氮原子的杂化:氮原子采用sp杂化,形成2个σ键(与相邻碳原子)和1个...
共轭效应一定是给电子的,诱导作用一定是吸电子的!但其实这明显是个驳论。因为共轭作...
氨及其衍生物 表现出碱性的氨及其衍生物主要包括脂肪胺、氨、芳香胺、酰胺、酰亚胺、...