|
学习小专题 |
版权申明:凡是署名为“化学自习室”,意味着未能联系到原作者,请原作者看到后与我联系(邮箱:79248376@qq.com)!
手性碳原子是指人们将连有四个不同基团的碳原子形象地称为手性碳原子,常以*标记手性碳原子。

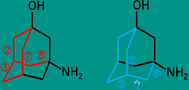
环状化合物手性碳原子的判断较为复杂。
分析方法:——对称面分析法


更为复杂多环化合物

如下图所示:两个手性C容易判断

关键是分析-OH与-NH2上的C原子是否为手性C?

如图对称,再看支路

支路也对称

同理分析

高考真题:
1(2025·广西·高考真题)枫叶所含鞣酸在铁锅中加热后会形成黑色色素,故能用于制作黑色糯米饭。下列有关鞣酸的说法正确的是

A.属于芳香烃
B.能与溴水反应
C.有4个手性碳原子
D.可与NaHCO3溶液反应
解析:如下图(非对称图形)

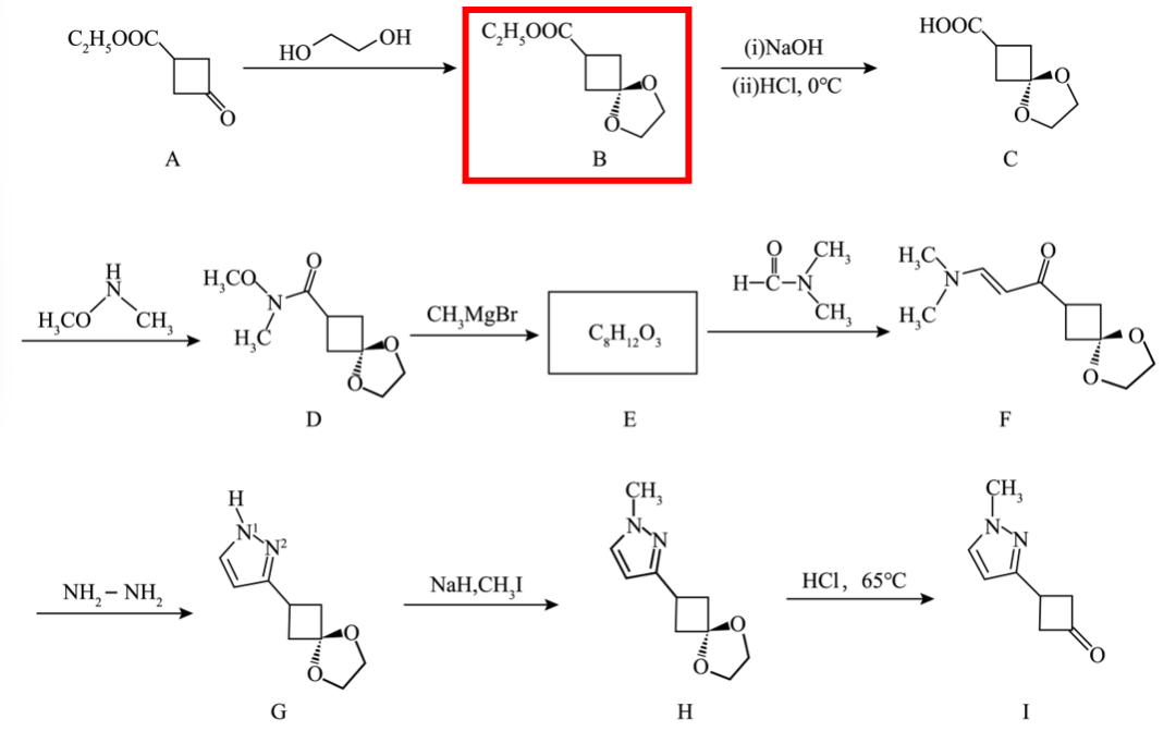
2(2025·江西·高考真题)一种抗癌药物中间体(I),其合成步骤如图(部分试剂和条件略去)。

(1)化合物B (填“含”或“不含”)手性碳原子。
(2)B到C的有机反应类型是 。
(3)写出由D生成E的化学反应方程式 。
解析:无手性C

3(2023·新课标·高考真题).光学性能优良的高分子材料聚碳酸异山梨醇酯可由如下反应制备。

下列说法错误的是
A.该高分子材料可降解
B.异山梨醇分子中有3个手性碳
C. 反应式中化合物X为甲醇
D.该聚合反应为缩聚反应
解析:如图,非对称结构

欢迎订阅网站动态,手机扫一扫就可以。
欢迎使用化学自习室APP,扫码就可下载。
说明:本文介绍了化学键的本质及其分类。文章详细介绍了价键...
手性碳原子 是指人们将连有四个不同基团的碳原子形象地称为手...
补充:...
手性分子不一定含有手性碳原子。 判断分子是否具有手性的黄金...
冠醚是一类大环多醚化合物,其分子结构呈环状,环上均匀分布...
在高考备考化学试卷里,经常会遇到含钯的催化剂。本文将就钯...