|
学习小专题 |
版权申明:凡是署名为“化学自习室”,意味着未能联系到原作者,请原作者看到后与我联系(邮箱:79248376@qq.com)!
在多重平衡体系中,各物质在达到平衡状态时的浓度。多重平衡体系是指一个化学反应体系中存在多个相互关联的化学反应,且至少有一种物质同时参与几个相互关联的平衡。
核心原则:在同一个体系中,同一个物质,无论它参与了多少个平衡反应,它在平衡时的浓度只有一个确定的值。这个浓度必须同时满足所有涉及它的平衡常数表达式。
比如连续型多重平衡:在一个化学反应体系中,多个化学反应依次连续进行,前一个反应的生成物是后一个反应的反应物,且各反应在一定条件下均可达到平衡状态的现象。
反应特点
反应的连续性:各反应之间存在明确的先后顺序,前一反应的产物直接参与后一反应,形成连续的反应链。
平衡的相互影响:由于反应的连续性,一个反应的平衡状态会直接影响后续反应的平衡状态,各反应的平衡常数之间存在一定的关联。
物质转化的多步性:物质从初始状态到最终状态需要经过多个反应步骤,每一步反应都有其特定的反应物、生成物和平衡条件。
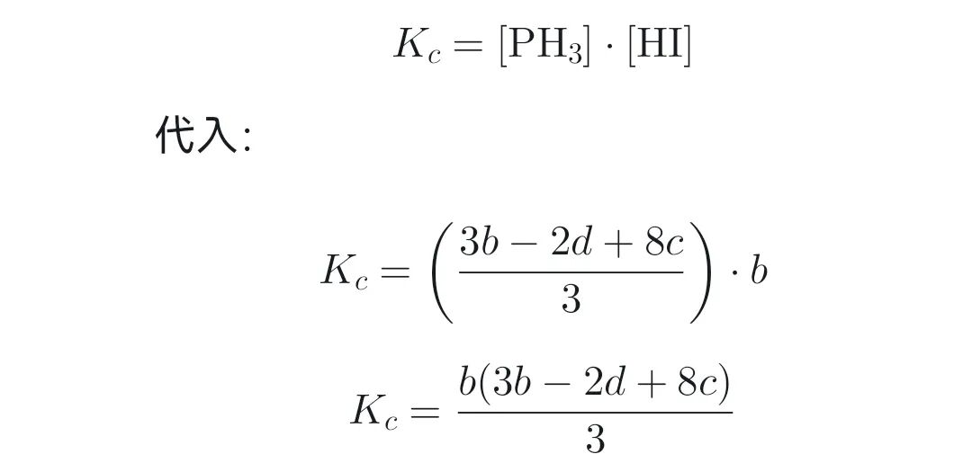
计算:2019年天津高考题为例


平衡常数K:写出反应①平衡常数表达式

连续型多重平衡常见于化工生产、材料合成等领域,例如在合成氨、制备高纯硅等过程中,多个反应连续进行且相互影响,通过控制反应条件和平衡状态,可实现目标产物的高效合成。
欢迎订阅网站动态,手机扫一扫就可以。
欢迎使用化学自习室APP,扫码就可下载。在多重平衡体系中,各物质在达到平衡状态时的浓度。多重平衡体系是指一个化学反应体系...
催化反应的核心始于吸附机理——分子通过物理吸附(范德华力)或化学吸附(化学键重组...
武汉市九月调考试题 解析 一般来说,有几个 过渡态就有几个基元反应。 那么吸附或脱附...
在化学热力学中,吉布斯自由能变(ΔG)是判断反应自发性的核心判据,其核心规律 “Δ...
核心思想: 多、快、好、省, 四大关键条件的分析与调控 1. 温度 (Temperature) · 热...
在化学反应动力学与热力学研究中,多平衡系统是一类普遍存在的复杂反应体系。明确其定...