|
学习小专题 |
版权申明:凡是署名为“化学自习室”,意味着未能联系到原作者,请原作者看到后与我联系(邮箱:79248376@qq.com)!
这种中点写法只表示组成,不表示结构,所以什么化学键都有可能。
不过这并不是说中点“完全没有意义”:在一个语境中使用“xA·yB”这样的表达一般意味着在这个语境中可以近似地将“xA·yB”这种物质看作A和B以固定比例x:y形成的混合物,亦即可以分别研究A和B的性质而不用太担心它们互相影响。
比如说,盐酸左氧氟沙星滴眼液的说明书上,盐酸左氧氟沙星的结构多半会被写成(左氧氟沙星)·HCl,表示HCl没有药理作用,只是用来和左氧氟沙星形成可溶于水的盐而已。“严格来说”结构式当然应该写成[左氧氟沙星和氢离子结合成的阳离子]Cl,就像氯化铵写成NH₄Cl一样。
再比如说,矿物学上说到矿物的化学成分的时候,经常用类似“xAl₂O₃·ySiO₂·zK₂O”的写法。这个写法并不意味着矿物可以简单地拆成氧化铝、氧化硅和氧化钾,再在中间加上些什么键;实际的情况往往是铝、硅和氧形成带负电的网格状、层状、链状等结构,再与带正电的碱金属离子形成离子键。实际上,很多不同的矿物有相同的化学组成,导致矿物特性不同的是不同地质条件下形成的不同晶体结构,用化学式本来就并不能表示它们之间的差异;而很多地质过程中又往往是含有相同元素的不同矿物都会有相似的表现,所以也只需要将矿物中的元素以氧化物的形式表示清楚就可以了。
最后还是看回中学阶段最常见的水合无机物,并且稍微扩展几句。大部分水合无机物,比如其他答主也提到了的CuSO₄·5H₂O,其中的水分子是各自独立的,与阴阳离子之间以氢键等分子间作用力相结合。但并非所有水合无机物都是这样的,最典型的例子就是硼砂Na₂B₄O₇·10H₂O:硼砂中有八个水分子是典型的结晶水,但另外两个“水分子”实际上是与硼原子以共价键连接的四个羟基;更麻烦的是,把硼砂加热到400°C又确实可以使其失去所有“结晶水”变为无水的Na₂B₄O₇。多数情况下仍然是将硼砂写成Na₂B₄O₇·10H₂O,而不是更能反映结构的Na₂B₄O₅(OH)₄·8H₂O(虽然后一种表示也确实不是不存在)。
这个点的意思就是说这个东西不如( )稳定
化学式中表示一个集团有几个有两种方法,一个是括号然后右下角写几个,比如硫酸铵(NH4)2SO4,还有一种是写个点然后点后写有几个东西。比如五水合硫酸铜
用括号的一般更稳定一些,而且你看他们如果发生变化往往还有伴随着化合价的变化。而点的可以没有化合价的问题,而且还可以一个个的掉
如五水合硫酸铜

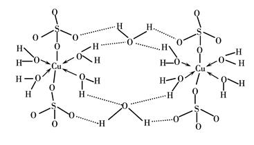
五水硫酸铜晶体失水分三步
五水硫酸铜中两个仅以配位键与铜离子结合的水分子最先失去,大致温度为102摄氏度。
两个与铜离子以配位键结合,并且与外部的一个水分子以氢键结合的水分子随温度升高而失去,大致温度为113摄氏度。
最外层水分子最难失去,因为它的氢原子与周围的硫酸根离子中的氧原子之间形成氢键,它的氧原子又和与铜离子配位的水分子的氢原子之间形成氢键,总体上构成一种稳定的环状结构,因此破坏这个结构需要较高能量。失去最外层水分子所需温度大致为258摄氏度。
欢迎订阅网站动态,手机扫一扫就可以。
欢迎使用化学自习室APP,扫码就可下载。一、拟卤素 1、涵义 某些原子团形成的分子,与卤素单质分子的性质相似,它们的阴离子...
一、 心概念与知识网络 “反应历程”或“反应机理”是近年来高考化学的热点。它不再是...
一、硫和金单质的反应 据我国古代第一部药物学专著《神农本草经》记载:“石硫黄(即硫...
高价态的含氧酸酸性强于低价态含氧酸的酸性,那么氧化性呢?比如,亚硝酸的氧化性就强...
...
浓硫酸和浓硝酸都具有氧化性,那么它俩谁更强呢?首先,必须确保同浓度下,水溶剂体系...