|
学习小专题 |
[注解与辨疑j] 什么是第一电子亲和能? 作者:化学自习室 来源:未知 日期:2025-10-11 10:29:06 点击:314 所属专题:电子亲和能
【导读】与第一电离能定义相反(并非严格互逆过程),第一电子亲和能是指基态的气态原子(或离子)获得一个电子形成气态阴离子时所放出或吸收的能量,通常用符号E表示,单位kJ/mol,它反映出原子(或离子)获取电子的能力。 简单理解:第一电子亲和能衡量的是一个气态原子“渴...
[注解与辨疑j] 什么是共轭酸碱对? 作者:化学自习室 来源:未知 日期:2025-10-11 10:08:10 点击:435 所属专题:酸碱理论
【导读】 根据 质子酸碱 理论: 酸是 质子的给予体 , 给出质子 (H ) 的物质 ; 碱是 质子的接受体 , 得到质子 (H ) 的物质 。 当一个酸 (HA) 给出一个质子 (H ) 后,剩余的部分 (A ) 就具备了接受质子的能力,成为该酸的 “ 共轭碱 ” ;当一个碱 (B) 得到一个质子 (H...
[探讨与扩展3] 自偶电离概念对中学化学教学的影响 作者:化学自习室 来源:未知 日期:2025-09-29 15:24:57 点击:254 所属专题:自偶电离
电离概念是中学一个基本概念,用以区分电解质和非电解质、共价化合物和离子化合物。其中电离的结果产生自由移动的离子。从高一学生掌握物质分类开始,一直到高二深入学习 电离平衡 的观念,这个概念始终贯穿整个高中化学,可以说是高中化学基本概念的一个基石。 最近刷...
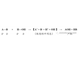
[注解与辨疑j] 对水解反应的概括性、综合性认识 作者:王笃年 来源:未知 日期:2025-09-24 07:35:15 点击:173 所属专题:水解反应
1. 如何理解 “ 水解 ” 反应的概念? “ 水解 ” ,顾名思义,可理解为 “ 某物质遇水分解 ” ,也可理解为 “ 该物质使水分解 ” 。 其实上述二者的含义同在。从微观层面看,可理解为发生水解的物质与水分子同时解离开来,分别变为正电性、负电性的部分,然后按照 “ ...
[注解与辨疑j] 为什么有些盐之间能发生完全双水解反应? 作者:化学自习室 来源:未知 日期:2025-08-12 10:34:00 点击:210 所属专题:双水解反应
双水解程度计算: 同样是双水解,为什么CH 3 COO - 和 NH 4 + 可以大量共存,而Al 3+ 和HC O 3 - 不能共存呢? 为什么醋酸根CH 3 COO - 和铵根 NH 4 + 双水解不完全,而铝离子Al 3+ 和碳酸氢根HC O 3 - 双水解是完全的?泡沫灭火器发生反应的原理是什么? 下面...
[注解与辨疑j] 为什么碳酸氢钠溶液能与四羟基铝酸钠溶液反应? 作者:化学自习室 来源:未知 日期:2025-08-12 10:38:00 点击:318 所属专题:偏铝酸钠
为什么NaHCO 3 溶液能与Na[Al(OH) 4 ]溶液反应? NaHSO 3 溶液之所以能与Na[Al(OH) 4 ]溶液反应得到Al(OH) 3 ,是因为NaHSO 3 溶液显酸性,Na[Al(OH) 4 ]溶液显碱性,其本质就是弱酸(Hs O 3 - )制取更弱的酸Al(OH) 3 ,但NaHCO 3 溶液和Na[Al(OH) 4 ]溶液两者都显碱性...
[注解与辨疑j] 中和滴定图像时,看到反应一半点处图像为什么很平缓? 作者:化学自习室 来源:未知 日期:2025-08-12 10:04:59 点击:116 所属专题:中和滴定曲线
我们在看到酸碱中和滴定图像时,看到反应一半点处图像很平缓,这是因为这一部分成分构成的缓冲对。本篇写缓冲溶液pH的计算,缓冲溶液加入酸或碱或者稀释操作引起pH的变化的计算。 1、缓冲溶液pH的计算 2、加入盐酸溶液,缓冲溶液pH的变化和计算 结论:加入10mL 1.00mol/...
[注解与辨疑j] 过饱和溶液应用:热冰 作者:化学自习室 来源:未知 日期:2025-07-29 15:49:13 点击:482 所属专题:过饱和溶液
热冰,一个看似矛盾却又真实存在的物质,打破了我们对冰与热的传统认知。它是一种在高温下形成的冰,这种神奇的物质是如何形成的?又有哪些独特的性质呢?今天,让我们一起揭开热冰的神秘面纱,探索这个奇妙的世界。 什么是热冰 热冰,顾名思义就是凝固点高于0℃的冰,...
[注解与辨疑j] 神奇的过饱和溶液 作者:化学自习室 来源:未知 日期:2025-07-29 15:36:12 点击:146 所属专题:过饱和溶液
Q1:你知道非饱和溶液、饱和溶液和过饱和溶液的区别吗? 非饱和溶液很简单,它是没有达到饱和度的那种溶液。比如100克15度的水里面可以加10克的盐,那么如果我在里面加了5克的盐,溶解了就是非饱和溶液。 然后饱和溶液就是它刚好达到饱和度,也就是说100克15度的水里面能加1...
[注解与辨疑j] 碳酸氢钠溶液中各微粒浓度大小比较及pH计算 作者:化学自习室 来源:未知 日期:2025-07-08 18:02:57 点击:843 所属专题:离子浓度大小比较
1、 碳酸氢钠溶液pH计算公式的推导 注意: 值得注意的是,最后推导的公式从表面上看c(H+)和初始浓度c0无关,但此公式成立的条件:Ka2c0Kw;c0Ka1,若不能满足上述条件,可以考虑用式④进行计算。 继续计算其他离子浓度并比较大小: 2、0.001mol/L碳酸氢钠溶液pH计算公式...
欢迎订阅网站动态,手机扫一扫就可以。
欢迎使用化学自习室APP,扫码就可下载。【导读】与第一电离能定义相反(并非严格互逆过程),第一电子亲和能是指基态的气态原子...
【导读】 根据 质子酸碱 理论: 酸是 质子的给予体 , 给出质子 (H ) 的物质 ; 碱是 ...
电离概念是中学一个基本概念,用以区分电解质和非电解质、共价化合物和离子化合物。其...
1. 如何理解 “ 水解 ” 反应的概念? “ 水解 ” ,顾名思义,可理解为 “ 某物质遇...
为什么NaHCO 3 溶液能与Na[Al(OH) 4 ]溶液反应? NaHSO 3 溶液之所以能与Na[Al(OH) 4 ...
双水解程度计算: 同样是双水解,为什么CH 3 COO - 和 NH 4 + 可以大量共存,而Al 3...
我们在看到酸碱中和滴定图像时,看到反应一半点处图像很平缓,这是因为这一部分成分构...
请教:恒温下向CH 3 COONa稀溶液中加入少量固体醋酸钠 c (CH 3 COO - )/ c (Na + )...