|
学习小专题 |
版权申明:凡是署名为“化学自习室”,意味着未能联系到原作者,请原作者看到后与我联系(邮箱:79248376@qq.com)!
【情境】:你注意到我们每天都离不开的水有什么反常之处吗?物质由液态变为固态时,通常是体积变小,但水结冰后体积却变大,如果是在密闭容器里结冰,甚至可能将容器撑破。
另外,在氧族元素的最简单氢化物中,常温、常压下硫化氢(H2S)、硒化氢(H2Se)、碲化氢(H2Te)都是气体,只有水以液态存在。按照一般规律,水的沸点应该低于硫化氢的沸点,但事实却相反。这是为什么?

水的熔点和沸点的反常现象以及水分子和冰晶体的性质使人们推想,水分子之间除了范德华力以外还存在其他作用力,正是这种作用力,使得水分子之间的相互吸引作用变得更强,造成水的熔点和沸点的反常升高。人们计算出水分子之间的范德华力,发现它大约只占冰中水分子间作用力测定值的1/6。看来,仅用范德华力无法解释水的这些“反常”。这强烈暗示,在水分子之间,一定存在一种比普通范德华力更强的特殊作用力。科学家将这种作用力命名为——氢键。那么,氢键是如何形成的?它又有何特别之处?
1、氢键的生成及表示方法
在水分子中,氢原子以共价键与氧原子结合。氧元素的电负性很大,在与氢原子形成共价键时氧原子强烈吸引共用电子,使之偏向自己,从而使自身带有部分负电荷,同时使氢原子带有较强的部分正电荷(δ+),几乎像一个‘裸露的质子’,带有正电荷。当一个水分子中的氢原子和另一个水分子中的氧原子接近时,带有部分正电荷的氢原子与带有部分负电荷的氧原子充分接近,并产生静电作用,形成氢键(hydrogen bond)。氢键是一种常见的、特殊的、较强的分子间作用力,它不是化学键。氢键通常用X—H…Y表示,其中X—H 表示氢原子和 X 原子以共价键相结合。
除了H2O之外,将同主族其他元素最简单氢化物沸点作比较。最简单氢化物沸点反常高的还有HF、NH3),说明HF、NH3分子间也存在氢键。

综上所述:氢原子先与电负性大的原子X(O、F、N)以共价键结合,若再靠近电负性大、半径小的原子Y(O、F、N等),在X与Y之间以氢为媒介,生成X—H…Y形式的一种特殊的分子间或分子内相互作用,称为氢键。[X与Y可以是同一种类原子,如水分子之间的氢键;也可以是不同种类分子,如一水合氨分子(NH3·H2O)之间的氢键。]
1、氢键的特征
【活动】分析下列数据与模型,探究氢键的特征。
①比较强度:对比表中三种物质的氢键作用能,结合你已有的知识(电负性、原子半径),尝试总结影响氢键强弱的因素。
②观察结构:观察三种物质的分子结构图示,数一算“每个分子参与形成的氢键数”。你发现了什么规律?这反映了氢键的什么性质?(提示:为什么冰中每个水分子形成4个氢键,而HF中每个分子只形成2个?)
③归纳本质:综合以上分析,请尝试从“作用本质”、“强度特征”、“方向性与饱和性”三个方面,口头阐述氢键的主要特征。
物质 | 沸点℃ | 氢键作用能(KJ/mol) | 表示方法 | 每个分子参与 形成的氢键数 | 图示 |
NH3 | -33.5 | 5.4 | N—H…N | 6 |
|
H2O | 100.0 | 18.8 | O—H…O | 4 |
|
HF | 19.3 | 28.1 | F—H…F | 2 |
|
说明:氢键的作用能是指1mol X—H…Y 分解为 X—H 和 Y 所需要的能量,有的资料也称氢键键能。但注意氢键不是化学键.从表中可以看出,H2O、HF分子间氢键作用能相对较高,这类作用能高的氢键叫强氢键;NH3分子间氢键作用能较低,这类氢键叫弱氢键。
归纳氢键的特征:
①氢键的本质:先与电负性大的原子形成σ键的H原子再和另外一个电负性大的原子上的孤电子对相互吸引,形成的比分子间作用力稍强,但比化学键弱得多的电性作用。
②氢键的强弱判断:氢键的强弱与X、Y原子电负性、原子半径有关:X、Y原子电负性越大,原子半径越小,形成的氢键越强:F—H…F > O—H…O > O—H…N > N—H…N
③强氢键(F—H…F 与 O—H…O )具有方向性和饱和性。
氢键的方向性是指Y原子与X—H形成氢键时,在尽可能的范围内要使氢键的方向与X—Hσ键的键轴以及Y中孤电子对的伸展方向对齐,即:使X—H…Y尽量在同一直线上。这样形成的氢键静电引力最大、斥力最小;在形成氢键的过程中放出能量最多、体系趋向稳定。例如:冰中的氢键是H原子与O原子上孤电子对一对一形成的强氢键;HF中的氢键也是H原子与F原子上的孤电子对一对一形成的强氢键。
氢键的方向性必然决定了氢键具有饱和性:对于氢键X—H…Y,X原子周围X—H σ键数或Y原子上孤电子对数目最多都只有两三个,因此不可能在一个X和一个Y原子周围形成太多氢键。
④弱氢键(N—H…N)方向性和饱和性不明显,更加类似于普通的分子间作用力:在固态或液态氨气分子间N—H…N的N原子周围尽可能形成多的氢键以降低体系能量。晶体中,氨分子间形成的弱氢键参数如下:

1、氢键对物质性质的影响
通过对氢键形成条件和特征的学习,我们知道它是一种比范德华力强、但远弱于化学键的分子间作用力。那么,这种‘强度适中’的分子间作用力,会给物质的性质带来哪些具体而微妙的影响呢?
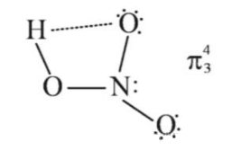
要研究氢键对物质性质的影响,先得了解氢键的分类,请观察下图中两种氢键有何异同

这两种氢键都在O与H之间,区别在于一个是分子内氢键,一个是分子间氢键。之前我们学的大部分氢键是分子间氢键,这是由于分子内氢键的形成条件更苛刻。要形成分子内氢键 X—H…Y中H原子必须和Y原子足够接近,(对于芳香化合物而言)这往往只有邻位能够做到,间位、对位距离太远了,无法形成氢键。
A、氢键对物质熔沸点的影响
【活动】分析下列数据,探究氢键的对物质沸点的影响。
| 物质 | 摩尔质量 (g/mol) | 熔点℃ | 沸点℃ | 说明 |
CH4(甲烷) | 16 | -182.5 | -161.5 | 无氢键,仅范德华力 |
NH3(氨气) | 17 | -77.7 | -33.3 | 分子间形成弱氢键 |
HF(氟化氢) | 20 | -83.6 | 19.5 | 分子间以强氢键形成聚合链;1个HF最多参与形成2个氢键 |
H2O(水) | 18 | 0 | 100 | 分子间形成强氢键,1个水分子最多参与4个氢键的形成 |
| 139 | 45 | 216 | 分子内形成氢键 |
| 139 | 114 | 279 | 分子间形成氢键 |
| 137 | 51.6 | 238.6 | 无氢键,仅范德华力 |
从以上表格我们可以看出:
①结构相似,摩尔质量接近的物质(CH4、NH3、H2O、HF),若能形成分子间氢键,则能使物质的熔沸点升高(在摩尔质量接近的前提下,氢键比范德华力强);分子间能形成强氢键的物质熔沸点高于形成弱氢键的物质;若都能形成强氢键,则分子间氢键数目越多,熔沸点越高。
②结构相似(如同分异构体),摩尔质量接近的物质中,若分子内能够形成氢键,则其熔沸点远低于能形成分子间氢键的物质。这是因为(强)氢键的饱和性导致:一旦形成了分子内氢键,就难以再形成分子间氢键,因而分子间作用力较小,表现在熔沸点显得低。
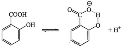
举例:硝酸是易挥发性酸,源于其形成分子内氢键;硫酸、磷酸是难挥发性酸,是因为二者均形成分子间氢键。

【小结】由分子构成的物质熔沸点的判断方法

B、氢键对物质在水中溶解度的影响
【活动】阅读下列信息,思考分子极性、氢键对物质在水中溶解度的影响:
| 物质 | 分子极性 | 能否与水 形成氢键 | 25℃水中 溶解度(g/100mL) | 说明 |
氨气(NH3) | 极性 | 能 | 45.8 | NH3在CCl4中的溶解度为0.0047g/100mL |
甲烷(CH4) | 非极性 | 不能 | 0.0017 | CH4在CCl4中的溶解度为0.023g/100mL |
一氯甲烷(CH3Cl)
| 极性 | 不能 | 0.33 | |
甲醇(CH3OH) | 极性 | 能 | 无限混溶(∞) | 与水分子形成氢键示意图
|
正丁烷(CH3CH2CH2CH3) | 非极性 | 不能 | 0.0061 | |
正丁醇(CH3CH2CH2CH2OH) | 极性 | 能 | 7.4 | |
苯
| 非极性 | 不能 | 0.071 | 苯可以与CCl4任意比混溶 |
苯酚
| 极性 | 能 | 8.3 | |
苯甲酸
| 极性 | 能 | 0.34 | 25℃趋向于自身分子间形成氢键 |
葡萄糖
| 极性 | 能 | 91 | 通过自身羟基与水分子形成大量氢键 |
①一氯甲烷比甲烷在水中溶解度大,说明分子极性会影响物质在水中溶解度。极性越强,在水中溶解度越大。这是因为溶质极性越强,越容易和水分子形成较强的范德华力,有利于溶质分散到水分子之间去。
②氨气、甲醇、葡萄糖能通过自身羟基与水分子间形成氢键,这三者其溶解度很大。这是因为溶质和溶剂分子之间形成氢键,有利于溶质分散到溶剂分子之间,极大地降低体系能量,增大了溶解度。
③甲醇和水任意比互溶、而正丁醇在水中溶解度急剧下降。这说明烃基(非极性基团)增长,降低了分子的极性,且减少了溶质和溶剂分子之间形成的氢键数目,不利于溶质分散到溶剂分子之间。
④苯酚和苯甲酸极性相似,且二者都能与水形成氢键。但常温下苯甲酸的溶解度小很多,这是由于常温下苯甲酸倾向于自身分子间形成氢键,形成缔合的分子结构,降低了自身极性的同时,不利于溶质分散到溶剂分子之间。因而溶解度降低。随着温度升高,分子热运动加剧,缔合分子中的氢键逐渐被破坏,苯甲酸的溶解度显著增大(95℃时苯甲酸的溶解度为9.8g/100gH2O)。
常温下碳酸氢钠(NaHCO3)溶解度远低于碳酸钠(Na2CO3)的溶解度,这也是因为在NaHCO3晶体中存在大量氢键将HCO3-缔合,不利于其溶解。即便是溶于水后相当部分碳酸氢根也会在水溶液中通过氢键二聚,这在一定程度上阻碍了它的分散,不利于其溶解。

⑤甲烷、苯在水中溶解度很小,但在四氯化碳(非极性溶剂)中溶解度显著增大;氨气在水中溶解度很大,但在四氯化碳中溶解度却很低。这充分说明若溶质和溶剂的极性相似,则更有利于二者之间形成强的分子间作用力,有利于溶质分散到溶剂分子之间去。反之极性不相似,则溶解度小。
【小结】分子间作用力对物质溶解度的影响
①范德华力对溶解度的影响:溶质溶剂分子之间极性越相似,越有利于二者形成范德华力,进而增大溶解度。若二者之间极性相反,则降低溶解度。
②氢键对溶解度的影响:溶剂和溶质分子之间能形成氢键,则增大溶解度;溶质自身形成氢键,则降低溶解度。
由此引出相似相溶规律:

C、氢键对物质密度的影响
由于(强)氢键具有方向性和饱和性;可使存在氢键的固体或液体物质的分子间产生一些空穴结构,从而使固体或液体物质的密度减小;水不同寻常的物理性质——冰的密度比水小。的原因是水在结冰以后,形成大量排列规整的氢键结构,使得分子的排列变得有序而空旷,如下图所示,因此密度减小了。

D、氢键对电离程度的影响
氢键只会影响物理性质吗?我们先看下列三种结构相似的酸的电离常数的负对数

依据pKa的数值,上图三种酸的强弱排序:邻羟基苯甲酸>间羟基苯甲酸>对羟基苯甲酸。我们思考一下氢键在其中的影响。如图所示,邻羟基苯甲酸在电离出一个H+后,羧基暴露出的带电荷的O 与羟基的H形成了一个分子内氢键,整个分子除了苯环以外又形成一个环(六元环),这样的结构能量低、比较稳定,相应的就容易生成,因此邻羟基苯甲酸就容易电离出一个氢离子,体现出的酸性就比间羟基苯甲酸和对羟基苯甲酸强很多。

HF作为弱酸,电离程度低,也与分子间通过氢键缔合成长链,降低了体系能量有关。

E、氢键在生命活动中的作用
DNA 分子有两条链,链内原子之间以很强的共价键结合,链之间则是通过两条链上的碱基以氢键为主要的相互作用维系在一起,两条链在许多的氢键及其他相互作用下形成独特的双螺旋结构,这是遗传基因复制机理的化学基础。

蛋白质的α螺旋结构中含有大量氢键;氢键是维系蛋白质二级结构的基础。酒精是蛋白质变性一方面是因为酒精直接与蛋白质反应;另一方面是酒精通过羟基与蛋白质中的N、O原子形成新的氢键,扰乱了蛋白质中原有的氢键,改变了蛋白质空间结构,从而让其失活。同理,羊毛织品水洗后会变形,原因类似。羊毛纤维是由蛋白质构成的,蛋白质分子中的氨基(-NH2)和碳氧双键(C=O)中的氧原子会形成氢键。羊毛在浸水和干燥的过程中,会在这些氢键处纳入水和去除水,而且其变化往往是不可逆的,从而改变了原先蛋白质的结构,即原先的氢键部位可能发生移动,由此引起羊毛织品变形。

【与氢键相关总结】

欢迎订阅网站动态,手机扫一扫就可以。
欢迎使用化学自习室APP,扫码就可下载。
说明:本文介绍了化学键的本质及其分类。文章详细介绍了价键...
手性碳原子 是指人们将连有四个不同基团的碳原子形象地称为手...
补充:...
手性分子不一定含有手性碳原子。 判断分子是否具有手性的黄金...
冠醚是一类大环多醚化合物,其分子结构呈环状,环上均匀分布...
在高考备考化学试卷里,经常会遇到含钯的催化剂。本文将就钯...