|
学习小专题 |
版权申明:凡是署名为“化学自习室”,意味着未能联系到原作者,请原作者看到后与我联系(邮箱:79248376@qq.com)!
核酸是由磷酸、戊糖和碱基通过一定方式结合而成的生物大分子,是遗传信息的携带者。核酸广泛存在于所有动植物细胞、微生物体内,生物体内的核酸常与蛋白质结合形成核蛋白。
一.概述
1868年,瑞士内科医生米歇尔(Friedrich Miescher)从外科医院包扎伤口绷带上的脓细胞核中提取到一种富含磷元素的酸性化合物,将其称为核质(nuclein);后来他又从鲑鱼精子细胞核中分离出类似的酸性物质;随后也有人在多种组织细胞中发现了这类物质的存在。学界认为米歇尔是核酸的最早发现者。
核酸(nucleic acid)存在于一切生物体中,最早从细胞核中提取得到。核酸包括核糖核酸(RNA)和脱氧核糖核酸(DNA)两大类。核酸是遗传物质的载体,DNA和RNA通过核酸序列编码遗传信息,从而指导蛋白质的合成,并进一步确定生命的形式。核酸研究是近年来生物化学、有机化学以及医学中最活跃的领域。迄今为止,已有40多位科学家因研究内容涉及核酸而荣获诺贝尔奖。核蛋白水解后能得到核酸,核酸是核蛋白的非蛋白部分。核酸可以进一步水解,得到核苷酸,核苷酸则由碱基、戊糖及磷酸组成。

二.从分子水平看DNA和RNA的合成
1.戊糖的链式和环式结构:
在葡萄糖的水溶液中,存在着存在着链状和环状结构葡萄糖之间的平衡,其中绝大部分葡萄糖为环状结构。很多单糖,以及寡糖和多糖中的单糖单元多以环状结构的形式存在。

形成核酸的戊糖也以环状结构存在:

2.戊糖与碱基分子间缩合脱水生成核苷:

3.核苷与磷酸成酯生成核苷酸:

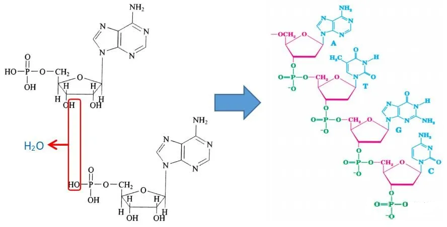
4.核苷酸分子间脱水缩合生成核酸:

5.从分子结构看DNA和RNA的形成:
核糖核酸叫RNA,脱氧核糖核酸叫DNA。
核酸中的戊糖可以为核糖或脱氧核糖,对应的核酸分别为RNA和DNA。核酸水解得到的碱基有腺嘌呤(A)、鸟嘌呤(G)、胞嘧啶(C)、尿嘧啶(U)和胸腺嘧啶(T)五种,生成RNA碱基有腺嘌呤、鸟嘌呤、胞嘧啶和尿嘧啶四种,生成DNA碱基有腺嘌呤、鸟嘌呤、胞嘧啶和胸腺嘧啶。
两条多聚核苷酸链组成,两条链平行盘绕,形成双螺旋结构;每条链中的脱氧核糖和磷酸交替连接,排列在外侧,碱基排列在内侧;两条链上的碱基通过氢键作用,腺嘌呤(A)与胸腺嘧啶(T)配对,鸟嘌呤(G)与胞嘧啶(C)配对,结合成碱基对,遵循碱基互补配对原则。

两条脱氧核糖核酸通过碱基配对形成氢键而成双螺旋结构,即为DNA:

RNA也是以核苷酸为基本构成单位,其中的戊糖和碱基与DNA中的不同,核糖替代了脱氧核糖,尿嘧啶(U)替代了胸腺嘧啶(T)。RNA分子一般呈单链状结构,比DNA分子小得多。
三.DNA和RNA的生物功能
在对DNA结构的探索中,于1953年摘取桂冠的是两位年轻的科学家——美国生物学家沃森(J. D. Watson,1928—)和英国物理学家克里克(F. Crick,1916—2004),DNA双螺旋结构的揭示是划时代的伟大发现。

遗传信息通过DNA的复制实现,DNA 的复制是指以亲代 DNA 为模板合成子代 DNA 的过程。在真核生物中,这一过程是在细胞分裂前的间期,随着染色体的复制而完成的。复制开始时,在细胞提供的能量的驱动下,解旋酶将DNA 双螺旋的两条链解开,这个过程叫作解旋。然后,DNA聚合酶等以解开的每一条母链为模板,以细胞中游离的 4 种脱氧核苷酸为原料,按照碱基互补配对原则,各自合成与母链互补的一条子链。随着模板链解旋过程的进行,新合成的子链也在不断延伸。同时,每条新链与其对应的模板链盘绕成双螺旋结构(图 3-10)。

一个 DNA 分子就形成了两个完全相同的 DNA 分子。新复制出的两个子代 DNA 分子,通过细胞分裂分配到子细胞中。DNA 复制是一个边解旋边复制的过程,需要模板、原料、能量和酶等基本条件。DNA 独特的双螺旋结构,为复制提供了精确的模板,通过碱基互补配对,保证了复制能够准确地进行。DNA 通过复制,将遗传信息从亲代细胞传递给子代细胞,从而保持了遗传信息的连续性。
基因通常是有遗传效应的 DNA片段,一个 DNA 分子上有许多个基因,每一个基因都是特定的 DNA 片段,有着特定的遗传效应,DNA蕴含了大量的遗传信息。DNA 只含有 4 种脱氧核苷酸(分别含 A、T、G、C 4 种碱基),研究表明,DNA 能够储存足够量的遗传信息;遗传信息蕴藏在 4 种碱基的排列顺序之中;碱基排列顺序的千变万化,构成了 DNA 的多样性,而碱基特定的排列顺序,又构成了每个 DNA 分子的特异性;DNA 的多样性和特异性是生物体多样性和特异性的物质基础。DNA上分布着许多个基因,基因通常是有遗传效应的 DNA 片段。有些病毒的遗传物质是RNA,如人类免疫缺陷病毒(艾滋病病毒)、流感病毒等。对这类病毒而言,基因就是有遗传效应的RNA片段。
基因指导蛋白质的合成。RNA在蛋白质合成过程中起着重要作用——其中转运核糖核酸,简称tRNA,起着携带和转移活化氨基酸的作用;信使核糖核酸,简称mRNA,是合成蛋白质的模板;核糖体的核糖核酸,简称rRNA,是细胞合成蛋白质的主要场所。
基因如何指导蛋白质的合成?我们知道,基因是有遗传效应的 DNA 片段。DNA 主要存在于细胞核中,而蛋白质是在细胞质中合成的。那么,DNA 携带的遗传信息是怎样传递到细胞质中的呢?当遗传信息到达细胞质后,细胞又是怎样解读的呢细胞核中的基因如何指导细胞质中的蛋白质合成?在 DNA 和蛋白质之间,还有一种中间物质充当信使。后来发现细胞中的确有这样的物质,它就是 RNA。mRNA 合成以后,通过核孔进入细胞质中。游离在细胞质中的各种氨基酸,就以 mRNA 为模板合成具有一定氨基酸顺序的蛋白质,这一过程叫作翻译(translation)。你已经知道,核酸的碱基序列蕴含着遗传信息。翻译的实质是将 mRNA 的碱基序列翻译为蛋白质的氨基酸序列。要想知道 mRNA 是如何翻译成蛋白质的,首先也要寻找 mRNA的碱基与氨基酸之间的对应关系。碱基与氨基酸之间的对应关系是怎样的 ?DNA 和 RNA 都只含有4种碱基,而在绝大多数生物体内,组成蛋白质的氨基酸有21 种。这4种碱基是怎么决定蛋白质的21种氨基酸的呢?设想一下,如果1个碱基决定1个氨基酸,那么,4种碱基只能决定4种氨基酸,这显然是不够的。如果 2 个碱基决定1个氨基酸,4种碱基能决定16(即4 2)种氨基酸, 还是不够。如果3个碱基决 定1个氨基酸,4种碱基能决定64(即4 3)种氨基酸,这种方式能够满足组成蛋白质的 21 种氨基酸的需要。mRNA上3个相邻的碱基决定1个氨基酸。每 3 个这样的碱基叫作 1 个密码子(图 4-5),一共有64个密码子。

mRNA 进入细胞质后,就与蛋白质的“装配机器”——核糖体结合起来,形成合成蛋白质的“生产线”。有了“生产线”,还要有“工人”,才能生产产品。游离在细胞质中的氨基酸,是怎样被运送到合成蛋白质的“生产线”上的呢 ?将氨基酸运送到“生产线”上去的“搬运工”,是另一种RNA——tRNA。tRNA 的种类很多,但是,每种tRNA 只 能 识 别 并转运一种氨基酸。tRNA 比 mRNA小得多,分子结构也很特别:RNA 链经过折叠,看上去像三叶草的叶形,其一端是携带氨基酸的部位,另一端有3个相邻的碱基(图 4-6)。每个 tRNA的这3个碱基可以与mRNA 上的密码子互补配对,叫作反密码子。

生物的主要遗传物质是DNA,一条DNA上有许多的基因,一个基因只是DNA上的一个片段,生物的各种性状都是分别由这些不同的基因控制的。基因是染色体上具有控制生物性状的DNA片段,染色体由DNA和蛋白质组成,DNA上有数万个基因。
细胞核中有染色体,染色体中有DNA,DNA上有遗传信息。这些就是他们的不同之处.,染色体由DNA和蛋白质构成,存在于细胞核内;一个人的体细胞的细胞核上有23对染色体;基因是DNA上具有遗传效应的片段,一个DNA上有三万多个基因。简单来说,染色体与基因的关系就是,一条染色体上有许多基因,基因在染色体上呈直线排列。
欢迎订阅网站动态,手机扫一扫就可以。
欢迎使用化学自习室APP,扫码就可下载。
简单来说:亲水官能团通常带有极性或电荷,能够与水分子形成...
在生物学的奇妙世界里,肽、氨基酸和蛋白质就如同构建生命的...
含有苯环的蛋白质(分子中含酪氨酸、色氨酸、苯丙氨酸等芳香...
油分为矿物油和食用油。 矿物油主要成分是烃(碳氢化合物),...
三大宏量营养素中,碳水化合物的主要作用是提供人体赖以存活...
在有机合成中,阿尔法氢(α-H)的活性是指与碳原子相连的氢原...