|
学习小专题 |
版权申明:凡是署名为“化学自习室”,意味着未能联系到原作者,请原作者看到后与我联系(邮箱:79248376@qq.com)!
一、相对式量法
根据相对式量确定元素化合价时,首先要会写物质的化学式。当某元素R的化合价为
,则其卤化物、硝酸盐、醋酸盐、氢氧化物等一价阴离子的化合物通式为
(
,
等),而其氧化物、硫酸盐、碳酸盐等二价阴离子的化合物的化学式则有2种情况:
当n为奇数时,化学式为
;
当n为偶数时,化学式为
。
例1、某金属元素最高价氧化物的水化物的相对分子质量为
,其最高价氧化物的相对分子质量为
,若此元素的最高正价为n,则
关系可能是( )
A. 
B. 
C. 
D. 
解析:从题给的信息可知
为二价阴离子,存在化学式有2种情况,当n为奇数时,化学式为
。
则

当n为偶数时,化学式为
则

正确答案A、B。
二、分类讨论法
某些试题中,已知条件少,开放性大,答案多个,这就要求学生能够根据题给条件,分类别进行讨论,从而得出正确的结论。
例2、某单质能与浓硫酸反应,若参加反应的单质与硫酸的物质的量比为1:2,则该元素在反应中所显示的化合价可能是( )
A. +1
B. +2
C. +3
D. +4
解析:单质分为金属和非金属两类,因而分2种情况讨论,设金属M为x价,非金属R为y价,得:
x、y为偶数时:

x、y为奇数时:

答案B、D。
三、结构判断法
在共价化合物里,某元素一个原子形成了几个极性共用电子时,该元素的化合价就是几,电子对偏向该元素则显负价,偏离该元素则显正价。
例3、三聚氰酸
可用于消除汽车尾气中氮氧化物(如
)。当加热至一定温度时它发生如下分解:
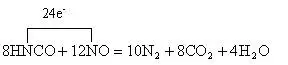
。HNCO(异氰酸,其结构是H-N=C=O)能和
反应生成
。试写出HNCO和NO反应的化学方程式,指明HNCO中各元素的化合价,标出电子转移的方向和数目。
解析:考生虽然不认识三聚氰酸、异氰酸,但是只要从H-N=C=O结构中,准确判断出N的化合价,问题就迎刃而解了。从元素周期律可知非金属性O>N>C,又从异氰酸结构可知C有4个共价键,肯定为+4价,O有2个共价键为-2价,H为+1价,那么N一定为-3价,即
,它与NO发生的反应是典型的归中反应:

四、价态组合法
化合价有正负之分,变价之意。对于一些含变价元素的复杂物质,确定其化合价时应先把元素可能呈现的几种价态逐一组合,然后根据化合价规则求解。
例4、录象用高性能磁粉的主要材料之一是由3种元素组成的化学式为
的化合物,已知氧为-2价,钴(Co)和铁可能呈现+2价和+3价。该化合物中每种元素只有一种化合价,x值为_________,铁的化合价为_________,钴的化合价为_________。
解析:在
中氧为-2价,钴、铁有变价。因各元素只有一种价态,故将价态分别组合后可求得x=1,Co为+2价,Fe为+3价。
五、转换角度法
转换思维切入的角度,会使思维进入豁然开朗的境界。
例5、X、Y、Z、W、Q均为含氮的化合物,我们不了解它们的化学式,但知道它们一定条件下有如下的转换关系(未配平)。
(1)
(2)
(3)
(4)
(5)
这5种化合物中氮元素的化合价由高到低的顺序为( )
A. Q>W>Z>X>Y
B. X>Y>W>Z>Q
C. W>Y>Z>Q>X
D. Z>X>W>Y>Q
解析:如果期望先推出W、Q、X、Y、Z各为何种含氮化合物,再排定氮元素化合价高低,其结果只能是无功而返。此时,最好的方式是转换思维角度,运用氧化还原反应的规律(升降规律、歧化规律、归中规律)分析题目转化关系:由(1)得出X高于W,氧升高则X、W氮化合价必降低。分析(3),硫化合价升高,则Y到Z氮化合价必降低。再分析(2)和(4),W介于Z和Y之间;Z介于Q和Y之间。最后分析(5),铜化合价升高,则X到Y氮化合价必降低,有X>Y。所以结论为X>Y>W>Z>Q。答案为B。
欢迎订阅网站动态,手机扫一扫就可以。
欢迎使用化学自习室APP,扫码就可下载。
说明: 1.不同于大学所说的“氧化数”,高中所学的“化合价”...
氧化还原反应的很多规律,如化合价有升必有降、电子有得必有...
配平氧化还原反应方程式的基本方法相同,关键是针对具体的反...
氧化性、还原性的强弱主要取决于物质本身得失电子的难易程度...
得失电子守恒是氧化还原反应的核心,根据这一原理,既可配平...
1 问题的提出 “氧化还原反应”在中学化学知识中占据着关键性...