|
学习小专题 |
版权申明:凡是署名为“化学自习室”,意味着未能联系到原作者,请原作者看到后与我联系(邮箱:79248376@qq.com)!
多元醇
多元醇中最重要的化合物为乙二醇及甘油。
1.乙二醇乙二醇,构造式为HOCH2CH2OH,或称1,2-乙二醇,α-乙二醇,俗名甘醇。乙二醇是无色具有甜味的粘稠液体,由于分子中有两个羟基,氢键缔合,其熔点与沸点比一般碳原子数相同的碳氢化合物高得多。如乙二醇熔点为-16℃,沸点197℃。在乙醚中几乎不溶,但能与水混溶,能降低水的冰点,如乙二醇40%(体积)的水溶液冰点-25℃,乙二醇60%的水溶液冰点为-49℃,因此可用于制取抗冻剂,使在低温下工作而不结冰,常用于汽车发动机的防冻剂。由于乙二醇的吸水性能好,还可用于染色等。乙二醇也是合成树脂、合成纤维的重要原料,如制聚(对苯二酸二乙二醇酯),乙二醇的一甲醚、二甲醚,乙二醇的一乙醚、二乙醚等均是很有用的溶剂。
乙二醇的工业生产方法是由环氧乙烷加压水合或酸催化下水合:

加压水合要求加压设备及高温,但后处理方便,因此用得很广泛;而酸催化水合虽然不需压力设备及反应温度较低,但从产品中分离硫酸是相当麻烦的。上述二法制取乙二醇总产率均超过90%(按环氧乙烷计),同时都有副产品一缩二乙二醇和二缩三乙二醇,前者可作为溶剂,液压制动设备的工作液体,织物的修饰和染色,后者可作为溶剂及增塑剂。

2.甘油
甘油构造式为HOCH2CHOHCH2OH,又称丙三醇,IU PAC命名为 1,2,3-丙三醇,俗名甘油。甘油是无色具有甜味的粘稠性液体,分子中有三个羟基的缔合作用,沸点更高,为290℃。能与水混溶,在纺织、医药、化妆品工业及日常生活中用途很广。与浓硝酸、浓硫酸作用,形成硝酸甘油酯,俗称硝化甘油,是无烟火药中的主要成分,是在严格冷却条件下,将甘油滴入浓硝酸与浓硫酸的混合酸中反应:

硝酸甘油酯为无色、有毒的油状液体,经加热或撞击立即发生强烈爆炸反应,顷刻间产生大量气体:

由于大量气体迅速膨胀,而产生极大的爆炸力。将硝酸甘油酯吸入硅藻土中,即可避免因撞击而爆炸,只有用引爆剂才能使之爆炸。硝酸甘油酯中溶入10%的硝化纤维,可形成爆炸力更强的炸药,称爆炸胶,20%~30%的硝酸甘油酯与70%~80%的硝化纤维混合物,称为硝酸甘油火药,能作枪弹的弹药。
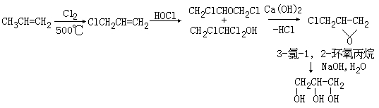
甘油的工业生产方法是用丙烯在高温下氯化,得3-氯丙烯,然后与次氯酸反应,得1,3-二氯-2-丙醇及2,3-二氯-1-丙醇的混合物,在碱性条件下,经环化得3-氯-1,2-环氧丙烷,再水解得甘油:

二、多元醇的反应
多元醇的反应与一元醇类似,多元醇的羟基可以单独反应或全部反应,如下所示:





甘油磷酯在有机体中具有重要的生理作用,它和钙离子形成甘油磷酸钙,可调节钙和磷的比例,如果这个反应失调,会导致佝偻病:

三、邻二醇用高碘酸或四醋酸铅氧化
1.邻二醇用高碘酸氧化
高碘酸(H5IO6)、偏高碘酸钾(KIO4)、偏高碘酸钠(NaIO4)的水溶液可以使1,2-二醇键断裂,醇羟基转化为相应的醛、酮,并且能定量地反应,因此,根据高碘酸的消耗量,可推知多元醇中所含相邻醇羟基的数目,根据产物可推知原化合物的结构。如:

反应过程通过环状酯的中间体,如下所示:

多元醇如其羟基均处于相邻位置,在与一分子高碘酸反应后得到α-羟基醛或酮,可进一步与高碘酸反应,其过程也与1,2-二醇类似,形成环状酯中间体:

对于多羟基化合物的氧化产物,可以简单地看作是醇羟基碳原子之间的键断裂,断裂部分各与一个羟基结合,然后失水,可方便地推测到最终的氧化产物,如:

用这种方法来推测产物比较方便,反过来,根据H5IO6消耗数量及氧化产物可推测原化合物的结构。
α-羟基酸、1,2-二酮(α-二酮)、α-氨基酮、1-氨基-2-羟基化合物也能进行类似的反应。习题9-22用高碘酸的水溶液与下列化合物反应,请写出试剂消耗量及氧化产物的结构:


习题9-23顺-1,2-环己二醇与高碘酸的氧化反应比反型异构体快,请解释原因。
2.邻二醇用四醋酸铅氧化

苯溶液中进行,反应是定量的,因此也用于1,2-二醇的定量分析。但此试剂能与其它含羟基的分子反应,因此不能用水或醇作溶剂,但少量水,特别是醋酸,对氧化反应并无妨碍。此方法与用高碘酸的水溶液中氧化可以互为补充使用。
1,2-二醇与四醋酸铅的反应结果与高碘酸、偏碘酸钾、偏碘酸钠是一样的,其氧化过程也是经过环状酯中间体,例如:

顺型的1,2-二醇比反型的相对速率快得多,这与形成环状酯中间体有关,反型的环状酯因增加五元环的扭曲不易形成:

但如用吡啶作反应溶剂,会加快反-1,2-二醇的反应速率,可能在吡啶中不需经过环状酯中间体:

α-羟基醛或酮、1,2-二酮以及α-羟基酸需要有少量水或醇存在时,才能发生氧化断裂反应,即四醋酸铅与之反应的是羟基与水或醇的加成物。如:

习题9-24写出下列化合物与四醋酸铅在醋酸铅或苯中反应的主要产物:




四、邻二醇的重排反应——频哪醇重排
邻二醇在酸作用下发生重排,如:

这类反应最初是从频哪醇重排为频哪酮发现的,因此这类邻二醇的重排反应,即被称为频哪醇重排反应。α-双二级醇,α-二级醇三级醇、α-双三级醇均能发生此反应。此重排反应与瓦格奈尔-梅尔外英重排(参看5.13,1(4))类似,首先羟基质子化形成(i),(i)失水成碳正离子(ii),相继发生基团的迁移,缺电子中心转移到羟基的氧原子上(iii),(ii)中带正电荷的碳为6电子,(iii)中
盐的氧为8电子,(iii)比(ii)稳定,这是促使发生重排反应的原因,(iii)失去质子生成频哪酮:

瓦格奈尔-梅尔外英重排,是从一个碳正离子重排为另一个更稳定的碳正离子,而频哪醇重排是从一个碳正离子重排为另一个更加稳定的
盐离子。
频哪醇重排反应中的几个问题:
(1)在不对称取代的乙二醇中,哪一个羟基被质子化后离去,这与羟基离去后形成碳正离子的稳定性有关,一般形成比较稳定的碳正离子的碳上的羟基被质子化,如下式中,苯环与碳正离子共轭比较稳定,因此 C-1形成碳正离子,由 C-2上氢重排,生成主要产物:

(2)当形成的碳正离子相邻碳上两个基团不同时,哪一个基团优先转移,通常能提供电子、稳定正电荷较多的基团优先迁移,但经常得到两种重排产物,因此最好相邻碳上两个基团是相同的。

当碳正离子的相邻碳上有两个不同芳基时,在重排时迁移的相对速率如下:

(3)迁移基团与离去基团处于反式位置,如顺-1,2-二甲基-1,2-环己二醇在稀硫酸作用下能迅速重排,甲基迁移得到环己酮,而反-1,2-二甲基-1,2-环己二醇在相同条件下,由于迁移基团与离去基团不处于反式位置,反应很慢,并导致环缩小反应:

习题9-25写出下列化合物在酸作用下的重排产物:
习题9-26比较下列两个化合物在酸作用下发生重排反应,哪一个化合物反应快,为什么?

欢迎订阅网站动态,手机扫一扫就可以。
欢迎使用化学自习室APP,扫码就可下载。
羧基(-COOH)上的P-π共轭效应主要影响化合物的稳定性、酸性和...
...
杂环化合物分为脂肪杂环和芳香杂环两类。分子骨架中的杂环不...
环氧乙烷又称氧杂环丙烷,是一个含氧的三元环,结构接近于等...
一 、醇的一些特殊化学性质 1 、醇的碱性:氧提供 共用电子对...
醚的物理性质: 在常温下除甲醚和甲乙醚为气体外,大多数醚为...