化学自习室


按字母检索
学习小专题

数据词典

元素手册

元素周期表

假期高中化学辅导课程:

国家中小学课程资源高中化学在线课堂实录,涵盖必修第一册、必修第二册、选择性必修一、选择性必修二等课程模块,由名师分课时讲解,与课堂教学同步,可作为化学学习的先修课或复习巩固课。

学习方式:先预习课本,再观看课程视频,再结合学习同步资料如《步步高》中导学案或学习笔记巩固知识点,最后再结合课时作业进一步提高。

学习说明:点击图片即可直达。

中学化学中分子空间结构分析的基本原理

来源:作者:刘学超 点击: 所属专题: 共面 共线

版权申明:凡是署名为“化学自习室”,意味着未能联系到原作者,请原作者看到后与我联系(邮箱:79248376@qq.com)!

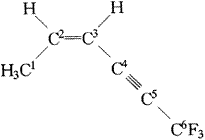
有一类问题借助分子的空间结构来考查学生的空间想象能力。如1996年全国高考16题: 描述CH 3 -CH CH-C C-CF 3 分子结构的下列叙述中正确的是(? )。 ? A.6个碳原子有可能在同一条直线上 B.6个碳原子不可能在同一条直线上 C.6个碳原子有可能在同一个平

网站温馨提示,请您保护好眼睛!双击图片可放大! 【视力保护色 杏仁黄 秋叶褐 胭脂红 芥末绿 天蓝 雪青(默认色) 灰 银河白 字体:

有一类问题借助分子的空间结构来考查学生的空间想象能力。如1996年全国高考16题:
  描述CH3-CHCH-CC-CF3分子结构的下列叙述中正确的是(? )。
? A.6个碳原子有可能在同一条直线上
  B.6个碳原子不可能在同一条直线上
  C.6个碳原子有可能在同一个平面上
  D.6个碳原子不可能在同一个平面上
  答案:B,C。
  又如1999年第17题:下列有机分子中,所有的原子不可能处于同一平面的是(? )。
    A.CH2CH-CN
?  B.CH2CH-CHCH2

C.
D.

  仔细分析以上两个问题,至少包含了以下三个方面的基本理论:①鲍林的现代价键理论;②分子光谱理论;③分子的构象理论。下面针对上述问题具体阐述如下。
  一、鲍林的现代价键理论
  现代价键理论能够解释共价键具有一定的方向性。如氧元素形成两个σ键时成角形,如水分子(图1);H22分子结构中,O-H键和O-O键的键角为97°(图2),这是为什么呢?

图1 H2O分子 图2 H22分子

  由于空间因素的影响:H2O分子两个氢原子间距离较近,排斥力大,从而使键角比H22分子的O-H键和O-O键的夹角更大一些。比较H2O和H22分子中的夹角可以看出,虽然氧元素在不同的分子中形成的两个σ键的夹角略有变化,但由于各种原子成键的方向性决定了氧元素成键的基本形状。
  CH3-CHCH-CC-CF3分子中以

为基本结构,

该分子可看作是乙烯结构中的两个氢原子被—CH3和—CC—CF3所取代,没有改变乙烯分子的基本形状。因此

中1、2、3、4碳原子共面。同理,

可看作是H-CC-H
分子中的两个氢原子被 CH3-CHCH-和—CF3所取代。

故3、4、5、6四个碳原子共线。根据以上分析,6个碳原子有可能在同一个平面内,而不在同一条直线上。
  二、分子光谱理论
  在1996年高考试题16题和1997年高考17题中为什么在题中都加上“可能”或“不可能”的叙述呢?有些同学认为6个碳原子一定在同一平面内,但为什么还说有可能在同一平面内呢?我们知道,对于分子来讲,它吸收某一特定频率的辐射从而引起分子转动或振动能级的变化,或使分子激发到较高的能级,产生特征分子光谱。分子光谱可分为三类:①转动光谱;②振动光谱;③电子光谱。我在这里只阐述与该问题有关的分子振动光谱。它是红外光谱的一种,是由于分子中原子或原子团的振动而引起的。原子间沿着键轴的伸长或缩短进行伸缩振动,组成化学键的原子、离子沿键轴而上下左右弯曲等于进行弯曲振动。伸缩振动引起键长的变化,弯曲振动引起键角的变化。伸缩振动可分为对称伸缩和不对称伸缩振动两种,如图3所示。

图3 对称伸缩振动 不对称伸缩振动

  弯曲振动可分为面内弯曲振动和面外弯曲振动两种。面内弯曲振动又分为剪式振动和平面摇摆振动;面外弯曲振动又分为非平面摇摆和扭曲振动,如图4所示。

图4 面内弯曲振动 面外弯曲振动

  根据以上理论,就甲烷分子而言,由于伸缩振动使得两个C—H键的长度不是任何时刻都相等,由于弯曲振动使得C—H键夹角不是在任何一个时刻都为109.28°。因此,在这个意义上,我们所说的键长和键角是一个平均概念,是一段时间内的平均值。对于

CH3-CHCH-CC—CF3 分子而言,存在着原子或原子团的振动,

因此1、2、3、4各碳原子不是在任何一个时刻都在同一平面内,3、4、5、6各碳原子不是在任何一个时刻都在同一直线上,而仅仅是1、2、3、4各碳原子有可能在同一平面内,3、4、5、6各碳原子有可能在同一直线上,因此1、2、3、4、5、6各碳原子有可能在同一平面内。
  三、构象理论
  所谓构象是指在有一定构造的分子通过单键的旋转,形成各原子或原子团的空间排布。构造式相同的化合物有许多构象。如乙烷的许多构象中有两个极限构象。一种是交叉式或反叠式构象,另一种是重叠式或叫顺叠式构象,如图5所示。

图5?交叉式 重叠式

  

说明:代表前面碳原子及其键, 代表后面的碳原子及其键。

  在交叉式中的两组氢原子处于交错位置,三对氢原子的距离最远,能量最低,构象最稳定;在重叠式中三对氢原子距离最近,能量最高,构象最不稳定。实验证明由交叉式转变为重叠式必须吸收12.5kJ/mol的能量,反之,由重叠式转变为交叉式需要释放出12.5kJ/mol?的能量。因此乙烷构象式由一系列能量态不同的构象所构成,但是各构象之间的转化能量很低。因此,在室温时乙烷分子中的C-C键能迅速地旋转,不能分离出乙烷的某一构象。因此,从理论上讲分子的构象是无数的。

在CH3-CHCH-CC—CF3 分子中由于单键旋转而引起的构象是

无数的,但无论如何旋转,1、2、3、4、5、6各碳原子仍然在

所确定的平面内。

如果我们把问题深入地考虑,该分子最多将有几个原子处于同一平面内?
  通过以上的分析,1、2、3、4、5、6各碳原子有可能在同一平面内。由于—CH3旋转可使最少有1个氢原子在该平面内。—CF3的旋转,最多有一个F原子在该平面内。因此,最多有10个原子在同一平面内。
??我们再分析1997年高考试题第17题。

A.
可看作是-C

取代乙烯中的氢原子。根据价键理论,基本不改变各原子的相对位置关系。因此,C-H键和CC键夹角仍然约为120°,由原子的振动从平均结果来看,处于同一平面上,因此各原子可能处于同一平面内。

C.
苯环中各原子的振动确定一个平面,

该分子可看作是苯分子中的一个氢原子被-CHCH2所取代,苯环中的一个碳原子与-CHCH2的振动确定一个平面,因此该分子中的原子处于

确定的两个平面之中,但由于在结构

中的C-C键的旋转,

使两个平面可能重合。B项的分析方法与C项的分析方法类似。

D.
分子中1、2、3、4、5、6各原子的振动
确定一个平面,4、6、7、8、9、10各原子的振动确定一个平面,-CH3取代了乙烯分子中的氢原子,没有改变乙烯分子确定的平面中各原子的相对位置关系。在该结构中,4、6碳形成的C-C键旋转使该平面有可能使1、2、3、4、5、6各原子和4、6、7、8、9、10各原子确定的两个平面重合,但C-CH3中的C-C键的旋转,将最多可能使一个H原子在两个重合的平面内,从而最多有11个原子在同一平面内。请思考:
(责任编辑:化学自习室)
用手机微信扫描以下二维码,可浏览、收藏、分享;若对您学习有帮助,请点击打赏图标,扫描二维码,赞助本站。
------分隔线----------------------------
数据统计中,请稍等!
------分隔线----------------------------
相关文章
说点什么吧
  • 全部评论(0
    还没有评论,快来抢沙发吧!
栏目列表
微信公众平台二维码
二维码图片
欢迎订阅网站动态,手机扫一扫就可以。
化学自习室APP下载二维码
化学自习室APP
欢迎使用化学自习室APP,扫码就可下载。
推荐内容
公益广告

返回顶部