|
学习小专题 |
版权申明:凡是署名为“化学自习室”,意味着未能联系到原作者,请原作者看到后与我联系(邮箱:79248376@qq.com)!
学生学习同分异构体时,遇到书写指定“基”构建的异构体,往往感到束手无策,东拼西凑不得要领。我认为在教学中只要深入思考,还是有章可循。
例1.某一苯的同系物化学式为C11H16,经分析分子中含有一个
、两个-CH3、两个-CH2-、一个
它可能有的同分异构体数是( )。
A.3种 B.4种 C.5种 D.6种
解析:从题给“基”分析,可分为两类“基”,一类为端基(即一价基),另一类为非端基(即二价基或三价基)。
第一步,先构建非端基组合成的异构体。本题为:

第二步把端基插入上述异构体的不同位置得到相应的异构体。显然(一)有两种异构体:

(二)也有两种异构体,分别为:

故本题的正确选项为B。
例2.某化合物的分子式为C10H13Cl,分析数据表明,分子中有两个-CH3、一个-CH2-、一个
,一个
,一个-Cl,它可能的异构体为:_________。
解析:用上述方法可知题给“基”中,端基为:两个-CH3、一个-Cl;非端基为:一个-CH2-、一个
、一个
,显然非端基构建的异构体有三种:

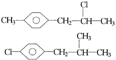
把端基插入(一)可得两种异构体,分别是:

把端基插入(二)可得三种异构体,分别是:

把端基插入(三)也可得到两种异构体,分别是:

遇到问题时,要勤于动脑,善于动手,把“难题”拆分、归类、重组、深入探索、研究,问题便会得到解决。
欢迎订阅网站动态,手机扫一扫就可以。
欢迎使用化学自习室APP,扫码就可下载。
环状结构中原子共面问题是常见考点之一,经过一轮复习,学生...
不饱和度(Ω)是反应有机物分子中“缺氢”的情况。由于烷烃...
(一)、苯环上的一取代: 苯分子中所有六个氢原子都等效,所...
一)、共轭 二烯烃 按照烯烃分子中碳碳双键 ( )的数目,烯烃可...
正四面体结构,只存在3个原子共面的情况。普通四面体,可以存...
...