|
学习小专题 |
版权申明:凡是署名为“化学自习室”,意味着未能联系到原作者,请原作者看到后与我联系(邮箱:79248376@qq.com)!
不饱和度又称为“缺氢指数”,用希腊字母Ω来表示,顾名思义,它是反映有机物分子不饱和程度的量化标志。烷烃分子中饱和程度最大,规定其Ω=0,其它有机物分子和同碳原子数的开链烷烃相比,每少2个H,则不饱和度增加1;
计算有机物的不饱和度有二种方式:
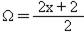
一、根据化学式计算:
烃的分子式为CxHy,则
![]()
如果有机物为含氧衍生物,因氧为2价,C=O与C=C“等效”,所以在进行不饱和度的计算时可不考虑氧原子,如CH2=CH2、C2H4O、C2H4O2的Ω为1,氧原子“视而不见”。有机物分子中卤原子—x以及—NO2、—NH2等都视为相当于H原子(如:C2H3Cl的不饱和度为1)。
对于碳的同素异形体,可以把它看成y等于0的烃来计算,即:
![]()
例如:C70的
=71
二、根据结构计算:
Ω=双键数+ 叁键数×2 +环数(注意环数等于将环状分子剪成开链分子时,剪开碳碳键的次数,双键包括碳氧双键等)
2、CH3—C≡CH:Ω=2(
:Ω=2)
3、
:Ω=4(可以看成一个环与三个双键构成)
:Ω=7
*4、立体封闭多面体型分子:Ω=面数-1
|
|
| Ω=5 | Ω=2 |
不饱和度的应用:
(1)已知结构式较复杂有机物的化学式;
(2)已知分子式判断其中可能含有的官能团及其数量(Ω大于4的应先考虑可能含苯环)。
(3)辅助分析同分异构体(同分异构体间不饱和度相同)
例题2:下图是一种驱蛔虫药--山道年的结构简式,试确定其分子式为____________。

解析:从结构图中可见,分子中有14个碳原子,3个氧原子,又有3个环和4个双键。Ω=7 ,氢原子数为2n+2-2Ω=2×14+2-2×7=16
∴化学式为C14H16O3
例题3:分子式为C8H8的烃能使溴水褪色,是合成某橡胶单体之一的材料,试确定其结构与名称。
解:由分子式可知:Ω= 5,则据分子式可知,该分子的结构中必含有一个苯环与一个碳碳双键,故其结构为
(苯乙烯)。
例题4:某烃的分子式中含有一个苯环,两个C=C和一个C≡C,则它的分子式可能为( )
A、C9H12 B、C17H20 C、C20H30 D、C12H20
例题5:合成相对分子质量在20000——50000范围内的具有确定结构的有机化合物是一个新的研究领域。1993年报道合成了两种烃A和B,其分子式分别为C1134H1146和C1398H1278,其分子中含有三种结构单元(I——III):
(I)
(II)—C≡C— (III)C(CH3)3 则:
(1)上述三种结构单元的不饱和度分别为 、 、 ;B的不饱和度为 。
(2)A分子中含有上述结构单元(I)、(II)、(III)的个数分别为多少?
解:(1) 4 、 2 、 0 ; 760 。
(2)设A分子中含有(I)、(II)、(III)结构单元的个数分别为x、y、z,则由“碳守恒”、“H守恒”、“不饱和度”列出方程组:

则有:

例题6:人们使用四百万只象鼻虫和它们的215磅粪便物,历经30多年时间弄清了棉子象鼻虫的四种信息素的组成,它们的结构可表示如下(括号内表示④的结构简式)以上四种信息素中,互为同分异构体的是( )

A、①和② B、①和④ C、③和④ D、②和④
不饱和度及其应用
1、某有机物分子式为C10H14Cl2O2,分子结构中不含有环和C≡C,只含一个羰基
,则该分子中含有的碳碳双键数为( )
A、1个 B、2个 C、3个 D、4个
2、分子式为C5H7Cl的有机物,其结构不可能是 ( )
A.含有两个双键的直链有机物 B.只含有一个双键的直链有机物
C.含有一个双键的环状有机物 D.含有一个三键的直链有机物
3、科学家于1995年合成了一种分子式为C200H200含多个C≡C叁键的链状烃,其分子中含C≡C叁键最多的是( )
A.49个 B.50个 C.51个 D.无法确定
4、化学工作者将烷烃、烯烃、环烃、炔烃……的通式转化成键数的通式,给研究有机物分子键能大小的规律带来了很大的方便。设键数为L,则烷烃中碳原子数与键数的关系为CnL3n+1,烯烃、环烷烃则为CnL3n,则苯的同系物中碳原子与键数关系的通式为( )
A、CnL3n-1 B、CnL3n-2 C、CnL3n-3 D、CnL3n-4
5、己知维生素A的键线式可写为

关于它的叙述正确的是( )
A 维生素A的分子式为C20H30O
B 维生素A 是一种易溶于水的醇
C维生素A 属于芳香烃
D 1mol维生素A 在催化剂作用下最多可5mol H2加成
6、某烃的组成为C15H24,分子结构非常对称。有关实验证实该烃中仅存在三种基团:-CH=CH2(乙烯基),-CH2-(亚甲基),
(次甲基),且乙烯基和次甲基之间必须通过亚甲基相连,而且相同基团之间不相连。若该烃分子中无环,则含乙烯基 个,该烃的结构简式为 。
7、(1)由2个C原子、1个O原子、1个N原子和若干个H原子组成的共价化合物,H的原子数目最多为______________个,试写出其中一例的结构简式_________。
(2)若某共价化合物分子只含有C、N、H三种元素,且以n(C)和n(N)分别表示C和N的原子数目,则H原子数目最多等于___________。
欢迎订阅网站动态,手机扫一扫就可以。
欢迎使用化学自习室APP,扫码就可下载。【题记】如果把有机分子同分异构体的书写比作是拼积木,那么,熟记以下这些分子或基团...
一、过滤 1、原理:根据固体的溶解度不同,将不溶性固体从溶液中分离出来的方法。 2、...
一、什么是不饱和度 不饱和度又称缺氢指数或者环加双键指数,是有机物分子不饱和程度...
定义:有机物分子中位置等同的氢叫等效氢. 分子中等效氢原子一般有如下情况: ①.分子中...
烃分子式的确定方法有很多,常用的有以下几种: 一、根据烃分子中各元素的质量分数(...
由有机物的分子式可以快速计算出不饱和度。对于一般简单结构的有机物也可以根据结构快...