|
学习小专题 |
版权申明:凡是署名为“化学自习室”,意味着未能联系到原作者,请原作者看到后与我联系(邮箱:79248376@qq.com)!
2024年江西省新高考化学试卷
一、选择题:本题共14小题,每小题3分,共42分。在每小题给出的四个选项中,只有一项符合题目要求。
【2024江西等级考】1. 景德镇青花瓷素有“国瓷”的美誉。是以黏土为原料,用含钴、铁的颜料着色,上釉后一次性高温烧制而成的青蓝色彩瓷。下列关于青花瓷说法正确的是
A. 青蓝色是由于生成了单质钴 B.表面的釉属于有机高分子膜
C. 主要成分为铝硅酸盐 D.铁元素的存在形式只有Fe2O3
【答案】C
【解析】
【详解】A.青花瓷上的蓝色花纹是由于使用了含有氧化钴的“青料”绘制而成,与单质钴无直接关系,A错误;
B.釉是一种覆盖在陶瓷表面的物质,通常由无机物质组成,如硅酸盐、氧化物等,B错误;
C.青花瓷是一种釉面瓷,其材质属于无机非金属材料,主要成分为铝硅酸盐,C正确;
D.青花瓷呈现青蓝色,不能确定铁元素的具体存在形式,Fe2O3呈红色,D错误;
故选C。
【2024江西等级考】2. 科学家发现宇宙中存在100多种星际分子。下列关于星际分子说法正确的是
A. 分子的极性:SiH4>NH3 B.键的极性:H—Cl>H—H
C. 键角:H2O>CH4 D.分子中三键的键长:HC≡N>HC≡CH
【答案】B
【解析】
【详解】A.SiH4中四条Si—H键完全相同,均为极性键,但由于SiH4为正四面体结构,故为非极性分子,NH3为三角锥形结构,3条N—H键的极性不能抵消,故为极性分子,故A错误;
B.H—H为非极性键,H—Cl为极性键,则键的极性:H—Cl>H—H,故B正确;
C.水分子为V形结构,含两对孤对电子,甲烷为正四面体结构,不含孤对电子,孤对电子对成键电子对斥力较大,则键角:H2O<CH4,故C错误;
D.原子半径C>N,分子中三键的键长:HC≡N<HC≡CH,故D错误;
故选B。
【2024江西等级考】3. “稀土之父”徐光宪先生提出了稀土串级萃取理论,其基本操作是利用有机络合剂把稀土离子从水相富集到有机相再进行分离。分离时可用的玻璃装置是
A.
B.
C.
D.
【答案】C
【解析】
【分析】利用有机络合剂把稀土离子从水相富集到有机相再进行分离,有机相与水相分层,可分液分离,以此来解答。
【详解】A.图为蒸馏,不能分离稀土离子,故A错误;
B.图中为过滤,不能分离稀土离子,故B错误;
C.图中分液漏斗可萃取、分液分离稀土离子,故C正确;
D.图中为抽滤装置,不能分离稀土离子,故D错误;
故选C。
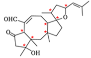
【2024江西等级考】4. 蛇孢菌素(X)是一种具有抗癌活性的天然植物毒素。下列关于X说法正确的是

A. 含有4种官能团,8个手性碳原子
B. 1mol X最多可以和3mol H2发生加成反应
C. 只有1种消去产物
D. 可与新制的Cu(OH)2反应生成砖红色沉淀
【答案】D
【解析】
【详解】A.分子中含酮羰基、羟基、醛基、醚键、碳碳双键,共5种官能团,连接4个不同基团的碳原子为手性碳原子,分子中含8个手性碳原子,
故A错误;
B.酮羰基、醛基、碳碳双键均与氢气发生加成反应,则1mol X最多可以和4mol H2发生加成反应,故B错误;
C.与羟基相连碳的邻位碳原子上有H原子可发生消去反应,与左侧甲基、亚甲基上H原子可发生消去反应,则有2种消去产物,故C错误;
D.分子中含醛基,可与新制的Cu(OH)2反应生成砖红色沉淀,故D正确;
故选D。
【2024江西等级考】5. 某新材料阳离子为W36X18Y2Z6M+。W、X、Y、Z和M是原子序数依次增大的前20号主族元素,前四周期中M原子半径最大,X、Y、Z同周期。X6W6分子含有大π键(π66),XZ2分子呈直线形。下列说法正确的是
A. WYZ2是强酸 B.MZW是强碱 C.M2Z2是共价化合物 D. X2W2是离子化合物
【答案】B
【解析】
【分析】W、X、Y、Z和M是原子序数依次增大的前20号主族元素,前四周期中M原子半径最大,M为K元素,X、Y、Z同周期,X6W6分子含有大π键(π66),说明X6W6是苯,X为C元素,W为H元素,XZ2分子呈直线形,为CO2,Z为O元素,Y为N元素,以此解答。
【详解】A.由分析可知,W为H元素、Y为N元素、Z为O元素,HNO2是弱酸,不是强酸,A错误;
B.由分析可知,M为K元素、Z为O元素,W为H元素,KOH是强碱,B正确;
C.由分析可知,M为K元素、Z为O元素,K2O2中存在K+和
,属于离子化合物,C错误;
D.由分析可知,X为C元素、W为H元素,C2H2为乙炔的分子式,乙炔中没有离子键,属于共价化合物,D错误;
故选B。
【2024江西等级考】6. 由下列实验事实得出的结论正确的是
| 实验事实 | 结论 |
A | 铝和氧化铁反应需要引燃 | 该反应ΔH>0 |
B | KI溶液加热浓缩后加入淀粉溶液,溶液变蓝 | 氧化性:O2>I2 |
C | 久置的NaOH溶液试剂瓶口出现白色固体 | NaOH结晶析出 |
D | 久置的FeCl2溶液中出现红褐色沉淀 | Ksp[Fe(OH)3]>Ksp[Fe(OH)2] |
A. A B.B C.C D.D
【答案】B
【解析】
【详解】A.铝热反应大量放热,反应需要引燃和反应放热还是吸热无关,A错误;
B.KI溶液加热浓缩过程中,I-被空气中O2氧化生成I2,加入淀粉溶液后变蓝,根据氧化还原反应的强弱规律,氧化性:O2>I2,B正确;
C.氢氧化钠会和空气中二氧化碳发生反应生成碳酸钠,故久置的NaOH溶液试剂瓶口出现的白色固体是碳酸钠,C错误;
D.亚铁离子和Fe(OH)2都有较强的还原性,易被空气中氧气氧化,故久置的FeCl2溶液中出现红褐色Fe(OH)3沉淀和Ksp大小无关,D错误;
本题选B
【2024江西等级考】7. 我国学者把游离态氮固定在碳上(示踪反应如下),制得的[N=C=N]2﹣离子可用于合成核酸的结构单元。阿伏加德罗常数的值为NA,下列说法正确的是
15N2+C(石墨)+2LiH
Li2[15NC15N]+H2
A. 22.4L15N2含有的中子数为16NA B.12gC(石墨)中sp2杂化轨道含有的电子数为6NA
C. 1mol[N=C=N]2﹣中含有的π键数为4NA D.生成1mol H2时,总反应转移的电子数为6NA
【答案】D
【解析】
【详解】A.22.4L15N2的温度压强不知,不能计算物质的量,故A错误;
B.12gC(石墨)物质的量n
1mol,C原子的杂化轨道上3个电子,有一个电子未参与杂化,sp2杂化轨道含有的电子数为3NA,故B错误;
C.双键中一个σ键,一个π键,则1mol[N=C=N]2﹣中含有的π键数为2NA,故C错误;
D.该反应中氮元素化合价0价降低到﹣3价,碳元素化合价0价升高到+4价,氢元素化合价﹣1价升高到0价,电子转移总数6e﹣,生成1mol H2时,总反应转移的电子数为6NA,故D正确;
故选D
【2024江西等级考】8. 从CPU针脚(含有铜、镍和钴等金属)中回收金的实验步骤如图。下列说法错误的是

A. 将CPU针脚粉碎可加速溶解
B. 除杂和溶金步骤需在通风橱中进行
C. 富集后,K[AuBr4]主要存在于滤液中
D. 还原步骤中有SO42-生成
【答案】C
【解析】
【详解】A.将CPU针脚粉碎,增大与硝酸和水的接触面积,可加速溶解,故A正确;
B.除杂和溶金步骤中会生成污染性气体二氧化氮、一氧化氮,需在通风橱中进行,故B正确;
C.图示可知,富集后,K[AuBr4]主要存在于滤渣中,故C错误;
D.还原步骤中Na2S2O5做还原剂得到金属单质金,硫元素化合价升高,反应过程中有SO42-生成,故D正确;
故选C。
【2024江西等级考】9. 温度T下,向1L真空刚性容器中加入1mol(CH3)2CHOH,反应达到平衡时,
,

下列说法正确的是
A. 再充入1mol X和1mol Y,此时
B. 再充入1mol X,平衡时
C. 再充入1mol N2,平衡向右移动
D. 若温度升高,X的转化率增加,则上述反应ΔH<0
【答案】A
【解析】
【分析】由题意可知,平衡时Y的浓度为0.4mol/L,由方程式可知,X的浓度为1mol/L—0.4mol/L=0.6 mol/L,Z的浓度为0.4mol/L,则反应的平衡常数K=
≈0.27。
【详解】A.向真空刚性容器中再充入1mol X和1mol Y时,反应的浓度熵Qc=
=0.35>K,则反应向逆反应方向进行,正反应速率小于逆反应速率,故A正确;
B.向真空刚性容器中再充入1mol X相当于增大压强,该反应是气体体积增大的反应,增大压强,平衡向逆反应方向移动,则平衡时,Y的浓度小于0.8mol/L,故B错误;
C.向真空刚性容器中再充入不参与反应的1mol氮气,反应体系中各物质浓度不变,平衡不移动,故C错误;
D.温度升高,X的转化率增加,说明平衡向正反应方向移动,该反应为焓变大于0的吸热反应,故D错误;
故选A。
【2024江西等级考】10. 一种可用于海水淡化的新型网状高分子材料,其制备原理如图(反应方程式未配平)。下列说法正确的是

A. 亲水性:Z>聚乙烯 B.反应属于缩聚反应
C. Z的重复结构单元中,nN∶nS=1∶2 D.反应的原子利用率<100%
【答案】A
【解析】
【详解】A.Z含多个羟基,易与水分子形成氢键,聚乙烯不溶于水,则亲水性:Z>聚乙烯,故A正确;
B.X中碳碳双键转化为单键,且生成高分子,该反应为加聚反应,故B错误;
C.X中碳碳双键与H-S键发生加成,X中含3个氮原子,且3个碳碳双键发生加成反应,则Z的重复结构单元中也含有3个硫原子,可知Z的重复结构单元中,nN∶nS=1∶1,故C错误;
D.该反应中生成物只有一种,为化合反应,反应的原子利用率为100%,故D错误;
故选:A。
【2024江西等级考】11. 我国学者发明了一种新型多功能甲醛﹣硝酸盐电池,可同时处理废水中的甲醛和硝酸根离子(如图)。下列说法正确的是

A. CuAg电极反应为2HCHO+2H2O﹣4e﹣═2HCOO﹣+H2↑+2OH﹣
B. CuRu电极反应为NO3-+6H2O+8e﹣═NH3↑+9OH﹣
C. 放电过程中,OH﹣通过质子交换膜从左室传递到右室
D. 处理废水过程中溶液pH不变,无需补加KOH
【答案】B
【解析】
【分析】由原电池中电子移动方向可知,CuAg为负极,HCHO失去电子生成HCOO-和H2,电极方程式为:2HCHO+4OH-﹣2e﹣═2HCOO﹣+H2↑+2H2O,CuRu为正极,NO3-得到电子生成NH3,电极方程式为:NO3-+6H2O+8e﹣═NH3↑+9OH﹣,以此解答。
【详解】A.由分析可知,CuAg为负极,HCHO失去电子生成HCOO-和H2,根据得失电子守恒和电荷守恒配平电极方程式为:2HCHO+4OH-﹣2e﹣═2HCOO﹣+H2↑+2H2O,A错误;
B.由分析可知,CuRu为正极,NO3-得到电子生成NH3,根据得失电子守恒和电荷守恒配平电极方程式为:NO3-+6H2O+8e﹣═NH3↑+9OH﹣,B正确;
C.质子交换膜只允许H+通过,C错误;
D.由分析可知,负极电极方程式为:2HCHO+4OH-﹣2e﹣═2HCOO﹣+H2↑+2H2O,正极电极方程式为:NO3-+6H2O+8e﹣═NH3↑+9OH﹣,总反应为8HCHO+NO3-+7OH-=NH3↑+8HCOO-+4 H2↑+2H2O,处理废水过程中消耗OH-,溶液pH减小,需补加 KOH,D错误;
故选B。
【2024江西等级考】12. NbO的立方晶胞如图,晶胞参数为anm,P的分数坐标为(0,0,0),阿伏加德罗常数的值M为NA,下列说法正确的是

A. Nb的配位数是6
B. Nb和O最短距离为
anm
C. 晶体密度
D. M的分数坐标为
【答案】D
【解析】
【详解】A.由图可知,NbO的立方晶胞中距离Nb原子最近且距离相等的O原子有4个,Nb的配位数是4,故A错误;
B.由图可知,Nb和O最短距离为边长的
,晶胞参数为anm,Nb和O最短距离为
anm,故B错误;
C.根据均摊法计算可知,Nb的个数为6×
=3,O的个数为12×
=3,即晶胞中含有3个NbO,晶胞密度为ρ=
,故C错误;
D.P的分数坐标为(0,0,0),M位于正方体的面心,M的分数坐标为(
,
,
),故D正确;
故选:D。
【2024江西等级考】13. 废弃电池中锰可通过浸取回收。某温度下,MnSO4在不同浓度的KOH水溶液中,若Mn(Ⅱ)的分布系数δ与pH的关系如图。下列说法正确的是

已知:Mn(OH)2难溶于水,具有两性;δ(MnOH+)=
;
A. 曲线z为δ(MnOH+)
B. O点,
C. P点,c(Mn2+)<c(K+)
D. Q点,c(SO42-)=2c(MnOH+)+2c(MnO22-)
【答案】C
【解析】
【分析】Mn(OH)2难溶于水,具有两性,某温度下,MnSO4在不同浓度的KOH水溶液中,若Mn(Ⅱ)的分布系数δ与pH的关系如图,结合曲线变化和分布分数可知,pH较小时,Mn元素存在形式为Mn2+,则曲线x为Mn2+,曲线y为MnOH+,曲线z为HMnO2-,结合图象变化分析判断选项。
【详解】A.分析可知,z表示δ(HMnO2-),故A错误;
B.图中O点存在电离平衡Mn2++OH﹣⇌MnOH+,在P点时c(Mn2+)=c(MnOH+),pH=10.2,K
103.8,O点δ(Mn2+)=0.6时,δ(MnOH+)=0.4,则c(OH﹣)
10﹣3.8mol/L
10﹣3.8mol/L,则
,故B错误;
C.P点时δ(Mn2+)=δ(MnOH+)=0.5,溶液中含Mn元素微粒只有这两种,根据物料守恒有c(Mn2+)+c(MnOH+)=c(SO42-),且c(Mn2+)=c(MnOH+)① 即2c(Mn2+)=c(SO42-)②,根据电荷守恒有
③,将①和②代入③得到
,此时pH=10.2,
则c(Mn2+)<c(K+),故C正确;
D.Q点时,根据图像溶液中存在,物料守恒:c(SO42-)=c(Mn2+)+c(MnOH+)+c(HMnO2-)+c(MnO22-)+c[Mn(OH)42-],且c(MnOH+)=c(HMnO2-),c(MnO22-)=c[Mn(OH)42-],则c(SO42-)=c(Mn2+)+2c(MnOH+)+2c(MnO22-) ,故c(SO42-)>2c(MnOH+)+2c(MnO22-) ,故D错误;
故选C。
【2024江西等级考】14. 白色固体样品X,可能含有AgNO3、NH4NO3、BaCl2、KCl、Na2SO3、Na2CO3、Al2O3之中的几种或全部。在三个烧杯中各加入适量X。分别加入足量以下三种试剂并微热使之充分反应,实验记录为:
编号 | 试剂 | 反应后的不溶物 | 生成的气体 |
Ⅰ | 蒸馏水 | 白色 | 无色、有刺激性气味 |
Ⅱ | 稀盐酸 | 白色 | 无色、无味 |
Ⅲ | NaOH溶液 | 无不溶物 | 无色、有刺激性气味 |
依据实验现象,下列说法正确的是
A. 可能含Al2O3 B.含BaCl2 C.含Na2SO3 D.不含KCl
【答案】A
【解析】
【分析】白色固体样品X,可能含有AgNO3、NH4NO3、BaCl2、KCl、Na2SO3、Na2CO3、Al2O3之中的几种或全部,在三个烧杯中各加入适量X,分别加入足量以下三种试剂并微热使之充分反应,Ⅰ.加入蒸馏水,微热生成无色有刺激性气味的气体,是微热条件下铵根离子和弱酸根离子发生的双水解反应生成了氨气和气体,说明一定含NH4NO3,反应生成白色沉淀,白色沉淀可能为氧化铝,也可能为AgNO3和Na2SO3、Na2CO3反应生成的Ag2SO3或Ag2CO3沉淀,或BaCl2和Na2SO3、Na2CO3反应生成的BaSO3、BaCO3沉淀,Ⅱ.加入稀盐酸反应后的不溶物为白色沉淀,同时生成的气体为无色无味气体,为二氧化碳气体,说明一定含Na2CO3,一定不含Na2SO3,白色沉淀可能为AgNO3生成的AgCl,可能含AgNO3、BaCl2,可能存在Al2O3;Ⅲ.加入NaOH溶液,无沉淀,有无色刺激性气味的气体生成,说明一定含NH4NO3,可能含AgNO3、BaCl2、KCl、Na2SO3、Na2CO3、Al2O3,据此分析判断。
【详解】A.分析可知,可能含Al2O3,故A正确;
B.分析可知,固体中可能含BaCl2,故B错误;
C.加入盐酸生成气体为无色无味,说明不含Na2SO3,故C错误;
D.上述过程中的分析可知,KCl的存在不能确定,故D错误;
故选A。
二、非选择题:本题共4小题,共58分。
【2024江西等级考】15. 稀土是国家的战略资源之一。以下是一种以独居石【主要成分为CePO4.含有Th3(PO4)4、U3O8和少量镭杂质】为原料制备CeCl3•nH2O的工艺流程图。

已知:ⅰ.Ksp[Th(OH)4]=4.0×10﹣45,Ksp[Ce(OH)3]=1.6×10﹣20,Ksp[Ce(OH)4]=2.0×10﹣48
ⅱ.镭为第ⅡA族元素
回答下列问题:
(1)关于独居石的热分解,以下说法正确的是 _______(填标号)。
a.降低压强,分解速率增大 b.降低温度,分解速率降低
c.反应时间越长,分解速率越大 d.提高搅拌速度,分解速率降低
(2)Na2U2O7中铀元素的化合价为 _______,热分解阶段U3O8生成Na2U2O7的化学反应方程式为 _______。
(3)浓缩结晶后,得到的晶体产物化学式为 _______,滤液可用于 _______阶段循环利用,避免产生大量的高碱度废水。
(4)溶解阶段,将溶液pH先调到1.5~2.0,反应后再回调至4.5。
①盐酸溶解Ce(OH)4的离子方程式为 _______。
②当溶液pH=4.5时,c(Th4+)=_______mol/L,此时完全转化为氢氧化钍沉淀。
(5)以BaSO4为载体形成共沉淀,目的是去除杂质 _______。
【答案】(1)b (2) ①. +6 ②. 2U3O8+O2+6NaOH=3Na2U2O7+3H2O
(3) ①. Na3PO4•12H2O ②. 热分解
(4) ①. 2Ce(OH)4+8H++2Cl﹣=2Ce3++Cl2↑+8H2O ②. 4×10﹣7
(5)RaSO4
【解析】
【分析】独居石的主要成分为CePO4,含有Th3(PO4)4、U3O8和少量镭杂质,加入55~60%的NaOH进行热分解,U3O8发生反应:2U3O8+O2+6NaOH=3Na2U2O7+3H2O,转化为Na2U2O7,CePO4中的Ce被氧化为Ce(OH)4,将热分解后的物质加水稀释后过滤,得到的滤液中含有Na+、PO43-,滤液浓缩结晶后,得到的晶体化学式为:Na3PO4•12H2O,滤液可用于热分解阶段循环利用,避免产生大量的高碱度废水,过滤得到的固体产物中加入盐酸和凝聚剂,Ce(OH)4具有氧化性,与盐酸发生反应:2Ce(OH)4+8H++2Cl﹣=2Ce3++Cl2↑+8H2O,废气为Cl2,调节pH,使铀和Th进入沉淀,向滤液中加入硫酸铵和氯化钡,使BaSO4和RaSO4形成共沉淀,得到含有Ce3+的溶液,经过一系列操作,得到CeCl3•nH2O,据此分析作答。
【小问1详解】
a.降低压强,分解速率降低,故a错误;
b.降低温度,分解速率降低,故b正确;
c.反应时间越长,分解速率逐渐变慢,故c错误;
d.提高搅拌速度,分解速率加快,故d错误;
故答案为b;
【小问2详解】
Na2U2O7中Na为+1价,O为﹣2价,根据化合价代数和为0,则铀元素的化合价为+6价,热分解阶段U3O8生成Na2U2O7的化学反应方程式为:2U3O8+O2+6NaOH=3Na2U2O7+3H2O
【小问3详解】
稀释过滤后的滤液中含有Na+、PO43-,滤液浓缩结晶后,得到的晶体产物化学式为:Na3PO4•12H2O,滤液可用于热分解阶段循环利用,避免产生大量的高碱度废水;
【小问4详解】
①根据后续流程可知,生成+3价Ce,则盐酸溶解Ce(OH)4发生氧化还原反应,其离子方程式为:2Ce(OH)4+8H++2Cl﹣=2Ce3++Cl2↑+8H2O;
②当溶液pH=4.5时,c(H+)=1×10﹣4.5mol/L,c(OH﹣)=1×10﹣9.5mol/L,c(Th4+)×c4(OH﹣)=4.0×10﹣45,则c(Th4+)=4×10﹣7 mol/L,此时完全转化为氢氧化钍沉淀;
【小问5详解】
以BaSO4为载体形成共沉淀,目的是去除杂质RaSO4,RaSO4的溶解度更小。
【2024江西等级考】16. 石油开采的天然气含有H2S。综合利用天然气制氢是实现“碳中和”的重要途径。CH4和H2S重整制氢的主要反应如下:
反应Ⅰ:CH4(g)+2H2S(g)⇌CS2(g)+4H2(g) ΔH1=+260kJ/mol
反应Ⅱ:CH4(g)⇌C(s)+2H2(g) ΔH2=+90kJ/mol
反应Ⅲ:2H2S(g)⇌S2(g)+2H2(g) ΔH3=+181kJ/mol
回答下列问题:
(1)H2S分子的电子式为 _______。
(2)反应Ⅳ:CS2(g)⇌S2(g)+C(s)ㅤΔH4=_______kJ/mol。
(3)保持反应器进料口总压为100kPa.分别以8kPaCH4、24kPaH2S(He作辅气)与25kPaCH4、75kPaH2S进料。CH4平衡转化率与温度的关系如图1,含有He的曲线为 _______,理由是 _______。

(4)假设在10L的恒温刚性容器中,通入0.3mol CH4和0.15mol H2S发生反应Ⅰ、Ⅱ和Ⅲ,起始总压为P0.CH4和H2S的转化率与时间的关系如图2,0~5min内H2的化学反应速率为 _______mol/(L•min);5min时,容器内总压为 _______。

(5)假设H2S和CH4的混合气体在某固体催化剂上的吸附服从Langmuir等温吸附(吸附分子彼此不发生相互作用,且气体分子为单分子层吸附)。吸附等温式为:
。其中a是气体的吸附系数,Vm是气体在固体表面的饱和吸附量(标态),P是气体的分压,V是气体分压为P时的平衡吸附量(标态)。在一定温度下,H2S的吸附系数是CH4的4倍,当H2S的分压为2MPa及4MPa,CH4和H2S的分压相同时,H2S平衡吸附量分别为0.6m3/kg和0.8m3/kg(已换算成标态),则H2S的吸附系数为_______MPa﹣1。
(6)与传统天然气制氢中需要脱硫将H2S转化为硫黄和水相比,上述方法优点是 _______。
【答案】(1)
(2)+11
(3) ①. M ②. 总压一定,充入氦气,反应物分压减小,相当于减压,反应Ⅰ、Ⅱ均正向移动,CH4平衡转化率增大
(4)
①. 1.2×10-3 ②.
P0
(5)0.4 (6)H2S得到了综合利用,3步反应均生成了H2
【解析】
【小问1详解】
H2S为共价化合物,其电子式为
;
【小问2详解】
根据盖斯定律可知,反应Ⅱ+Ⅲ﹣Ⅰ=Ⅳ,则CS2(g)⇌S2(g)+C(s)ㅤΔH4=ΔH2+ΔH3﹣ΔH1=(90+181-260)kJ/mol=+11kJ/mol;
【小问3详解】
保持反应器进料口总压为100kPa。分别以8kPaCH4、24kPaH2S(He作辅气)与25kPaCH4、75kPaH2S进料。CH4平衡转化率与温度的关系如图1,含有He的曲线为M,理由是总压一定,充入氦气,反应物分压减小,相当于减压,反应Ⅰ、Ⅱ均正向移动,CH4平衡转化率增大
【小问4详解】
由图可知,0~5min内消耗的CH4为0.3mol×5%=0.015mol,消耗的H2S为0.15mol×20%=0.03mol,根据氢原子守恒,则生成H2的物质的量为n(H2)=2×0.015mol+0.03=0.06mol,0~5min内H2的化学反应速率为v(H2)
1.2×10-3mol/(L•min);
设反应Ⅰ转化了xmolCH4,则反应Ⅱ转化了(0.015-x)molCH4,反应Ⅰ转化了2xmolH2S,反应Ⅲ转化了(0.03-2x) molH2S,列三段式有

,5min时,n(CH4)=0.285mol,n(H2S)=0.12mol,n(H2)=0.06mol,n(CS2)=xmol,n(S2)=(0.015-x)mol,n(总)=0.48mol,起始总压为P0,气体总量为0.45mol,根据压强之比等于物质的量之比,可得5min时,容器内总压为
×P0=
P0;
【小问5详解】
根据题意可知方程:①
,②
,联立方程①与②,解得:α1=0.4MPa﹣1;
【小问6详解】
与传统天然气制氢中需要脱硫将H2S转化为硫黄和水相比,上述方法优点是H2S得到了综合利用,3步反应均生成了H2。
【2024江西等级考】17. 一种可用于温度传感的红色配合物Z,其制备实验步骤及传感原理如图(反应物均按化学计量数之比进行投料):

Ⅰ.将Ni(NO3)2•6H2O和去离子水加入圆底烧瓶中,搅拌至完全溶解,再依次加入乙酰丙酮(HY)、无水Na2CO3和N,N,N'﹣三甲基乙二胺(X)溶液,继续搅拌5min;
Ⅱ.加入NaB(C6H5)4溶液,立即生成红色沉淀,室温下继续反应35min;
Ⅲ.减压过滤,用去离子水洗涤3次,烘干,重结晶,得到配合物Z;
Ⅳ.室温下,将适量Z溶于丙酮(L),温度降至15℃,溶液经混合色逐渐转为蓝绿色,得到配合物W的溶液。
回答下列问题:
(1)已知配合物Z中Ni、N和O五个原子共平面,Ni2+的杂化方式 _______(填“是”或“不是”)sp3。
(2)步骤Ⅰ中,加入Na2CO3的目的是 _______。
(3)步骤Ⅱ中,为避免沉淀包裹反应物共沉,可采取的操作是 _______。
(4)步骤Ⅲ中,洗涤去除的无机盐产物是_______。
(5)采用EDTA配位滴定法测定Ni的含量。实验步骤如下:
ⅰ.准确称取mg的配合物Z;
ⅱ.加入稀硝酸使样品完全消解,再加入去离子水,用20%醋酸钠溶液调节pH至4~5;
ⅲ.以PAN为指示剂,用cmol/LEDTA标准溶液滴定,平行测定三次,平均消耗EDTA体积VmL。
已知:EDTA与Ni2+化学计量数之比为1:1
①除了滴定管外,上述测定实验步骤中,使用的仪器有 _______(填标号)。

②Ni的质量百分含量为 _______%。
(6)利用上述配合物的变色原理(温差约10℃时,颜色有明显变化),设计一种实用温度传感装置_______。
【答案】(1)不是 (2)中和X与HY反应生成的H+,使平衡正向移动,有利于Z的生成
(3)充分搅拌、剧烈振荡
(4)NaNO3
(5)
①. bcd ②.
(6)具有温度指示功能的水杯,水杯外壁涂有配位化合物W(含少量丙酮)并以透明材料密封,并附有比色卡,水温可通过所示颜色与比色卡比较,大致判断,是否适合饮用
【解析】
【分析】红色配合物Z的制备实验步骤及传感原理为:
,将Ni(NO3)2•6H2O和去离子水加入圆底烧瓶中,搅拌至完全溶解,再依次加入乙酰丙酮(HY)、无水Na2CO3和N,N,N'﹣三甲基乙二胺(X)溶液,继续搅拌5min,加入Na2CO3的目的是中和X与HY反应生成的H+,使平衡正向移动,有利于Z的生成,加入NaB(C6H5)4溶液,立即生成红色沉淀,室温下继续反应35min,再经过减压过滤、洗涤、干燥得到配合物Z。
【小问1详解】
已知配合物Z中Ni、N和O五个原子共平面,Ni2+的杂化方式为dsp2杂化,不是sp3杂化。
【小问2详解】
步骤Ⅰ中,加入Na2CO3的目的是中和X与HY反应生成的H+,使平衡正向移动,有利于Z的生成。
【小问3详解】
步骤Ⅱ中,为避免沉淀包裹反应物共沉,可采取的操作是充分搅拌、剧烈振荡。
【小问4详解】
步骤Ⅰ和Ⅱ中,引入了Na+和NO3-,则步骤Ⅲ中,洗涤去除的无机盐产物是NaNO3。
【小问5详解】
①称取mg的配合物Z需要电子天平,加去离子水可以使用洗瓶,滴定过程需要用到滴定管和锥形瓶,所以上述测定实验步骤中,使用的仪器除了滴定管外,还有天平、锥形瓶、洗瓶;故选bcd;
②根据题意有关系式:
,则
,所以Ni的质量百分含量为
。
【小问6详解】
利用上述配合物的变色原理(温差约10℃时,颜色有明显变化),设计一种实用温度传感装置,该装置可以是具有温度指示功能的水杯,水杯外壁涂有配位化合物W(含少量丙酮)并以透明材料密封,并附有比色卡,水温可通过所示颜色与比色卡比较,大致判断,是否适合饮用。
【2024江西等级考】18. 托伐普坦是一种治疗心血管疾病的药物,其前体(L)合成步骤如图(部分试剂和条件略去)。

已知:
回答下列问题:
(1)化合物A _______(填“能”或“不能”)形成分子内氢键。
(2)写出由C生成D的化学反应方程式 _______。
(3)写出G的结构简式 _______。
(4)H到I的反应类型是 _______。
(5)参照上述合成路线,试剂X的化学式是 _______。
(6)K完全水解后,有机产物的名称是 _______。
(7)E的消去产物(C6H10O2)的同分异构体中,同时满足下列条件a、b和c的可能结构有 _______种(立体异构中只考虑顺反异构);写出只满足下列条件a和c,不满足条件b的结构简式 _______(不考虑立体异构)。
a)能与饱和碳酸氢钠溶液反应产生CO2;
b)红外光谱中有碳碳双键特征吸收峰;
c)核磁共振氢谱峰面积比例为3∶3∶2∶1∶1。
【答案】(1)能 (2)
+
→
+HCl
(3)
(4)取代反应
(5)SnCl2 (6)邻甲基苯甲酸
(7)
①. 9 ②. 
【解析】
【分析】有机合成题中,可以采用对比的方法,如F的分子式为C21H24ClNO6S,G分子式为C20H20ClNO5S,少了1个C,4个H,1个O,即F→G去掉了1个CH3OH,对比H的结构简式可知,可知G的结构简式为
,同理B→C、I→J均为-NO2→-NH2,因此X化学试为SnCl2,据此分析;
【小问1详解】
根据化合物A的结构简式以及形成氢键的条件,A中的羟基与-NO2处于邻位,可形成分子内氢键,故答案为能;
【小问2详解】
对比C、D的结构简式可知,C中氨基上的1个“N-H”断裂,另一反应物上的“S-Cl”键断裂,C→D的反应类型为取代反应,其化学反应方程式为
+
→
+HCl;故答案为
+
→
+HCl;
【小问3详解】
采用对比的方法,如F的分子式为C21H24ClNO6S,G分子式为C20H20ClNO5S,少了1个C,4个H,1个O,即F→G去掉了1个CH3OH,对比H的结构简式可知,可知G的结构简式为
,故答案为
;
【小问4详解】
由H和I的结构简式可知,H到I的反应类型为取代反应;故答案为取代反应;
【小问5详解】
B→C、I→J均为-NO2→-NH2,因此X化学试为SnCl2,故答案为SnCl2;
【小问6详解】
对比J和L的结构简式以及K的分子式,可推知K的结构简式为
,完全水解后生成得到
,名称为邻甲基苯甲酸;故答案为邻甲基苯甲酸;
【小问7详解】
E的消去产物为CH2=CHCH2COOCH3CH3,满足条件a、b、c的同分异构体中含有1个-COOH,1个碳碳双键,2个不相同的-CH3,符合条件的同分异构体有CH3CH2C(COOH)=CHCH3(存在顺反异构)、CH3CH2CH=C(COOH)CH3(存在顺反异构)、CH3CH(COOH)C(CH3)=CH2、CH3CH2C(CH3)=CH(COOH)(存在顺反异构)、CH3CH=C(CH3)CH2COOH(存在顺反异构),共有9种结构;只满足条件a和c,不满足b的分子中不含碳碳双键,应含有1个-COOH,2个不相同的-CH3,1个碳环,结构简式为
;故答案为9;
。
欢迎订阅网站动态,手机扫一扫就可以。
欢迎使用化学自习室APP,扫码就可下载。一、选择题:本题共 14 小题,每小题 3 分,共 42 分。在每小题给出的四个选项中,只...
一、选择题:本大题共 16 小题,共 44 分。第 1- 题,每小题 2 分;第 11-16 小题,每...
一、选择题:本题共 7 小题,每小题 6 分,共 42 分。在每小题给出的 4 个选项中,只...
一、选择题 ( 本大题共 16 小题,每小题 3 分,共 48 分。每小题列出的四个备选项中只...
1. 定窑是宋代五大名窑之一,其生产的白瓷闻名于世。下列说法正确的是 A. 传统陶瓷是...
可能用到的相对原子质量: H-1 C-12 N-14O-16 Mg-24 S-32 第一部分 本部分共 14 小题...