|
学习小专题 |
版权申明:凡是署名为“化学自习室”,意味着未能联系到原作者,请原作者看到后与我联系(邮箱:79248376@qq.com)!
一、有机物的同分异构体
1. 同分异构体的概念
化合物具有相同的分子式,但具有不同结构的现象,叫做同分异构现象。具有同分异构现象的化合物互称为同分异构体。
2. 同系物、同分异构体、同素异形体和同位素的比较

① 分子式相同则相对分子质量必然相同,但相对分子质量相同而分子式不一定相同。如:H3PO4与H2SO4 、C2H6O与CH2O2的相对分子质量相同,但分子式不同。最简式相同的化合物不一定是同分异构体,如:HHO、CH3COOH、HCOOCH3、C6H12O6的最简式相同,但分子式不同。
② 分子结构不同是由分子里原子或原子团的排列方式不同而引起的,如:CH3CH2OH和CH3OCH3、CH3CH2CHO和CH3COCH3等。
③ 同分异构现象在有机化合物中广泛存在,既存在于同类有机物中,又存在于某些不同类有机物中,如:CH3CH2 CH2 CH2CH3、CH3CH2 CH(CH3)CH3c(CH3)4;CH3COOH、HCOOCH3。同分异构现象在某些无机化合物中也存在,如:CO(NH2)2与NH4OCN、HCN(氰酸)和HCO(异氰酸)。
④ 化合物的分子组成、分子结构越简单,同分异构现象越弱。反之,化合物的分子组成、分子结构越复杂,同分异构现象越强。如甲烷、乙烷、丙烷等均无同分异构现象,而丁烷、戊烷的同分异构体分别为2种、3种。
⑤ 同分异构体之间的化学性质可能相同也可能不同,但它们的物理性质一定不同。各同分异构体中,分子里支链越多,熔沸点一般越低。
二. 同分异构体的类型
绝大多数有机物普遍存在同分异构现象,高中阶段的同分异构现象主要有4种情况。即碳链异构、官能团位置异构、官能团类别异构和顺反异构。
1. 碳链异构
碳链异构是指由于碳原子的连接次序不同引起的异构,如,正丁烷与异丁烷。由于烷烃分子中没有官能团,所以烷烃不存在官能团位置异构和官能团类别异构,而只有碳链异构。再如,CH3CH2CH2CH2CHO(戊醛)与(CH3)2CHCH2CHO(2-甲基丁醛)也属于碳链异构。
2. 官能团位置异构
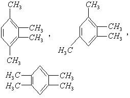
含有官能团的有机物,由于官能团的位置不同引起的异构。如,CH3CH=CHCH3和CH3CH2CH=CH2;CH3CH2CH2CH2COOH(1-丁醇)与CH3CH2CH(OH)CH3(2-丁醇);邻二甲苯、间二甲苯与对二甲苯。
含有官能团(包括碳碳双键、叁键)的有机物一般都存在官能团位置异构。互为碳链异构和官能团位置异构的有机物属于同类物质异构。
3. 官能团类别异构
所谓官能团类别异构是指分子式相同,官能团类型不同所引起的异构。除烷烃以外,绝大多数有机化合物分子都存在与其对应的官能团类别异构体。
各类有机物异构体情况见下表:

淀粉和纤维素都可用(C6H10O5)n,但由于n不等,所以不是同分异构体。
4. 顺反异构
不饱和烃(烯烃)的C=C双键,还C=N(双键),N=N双键及环状等化合物中可能存在顺反异构(一般如无特殊说明,不考虑顺反异构)。
存在顺反异构的条件:碳碳双键的每一个碳原子连两个不同的原子或原子团。
三.同分异构体的书写方法
(一)思路方法
1、列出有机物的分子式。
2、根据分子式找出符合的通式,由通式初步确定该化合物为烷烃、;烯烃或环烷烃、;炔烃、二烯烃或环烯烃;芳香烃及烃的衍生物等。
3、书写顺序:先写碳链异构,再写位置异构,最后写官能团异构。
4、书写方法:
同一碳原子上的氢原子互为等效;与同一碳原子上相连的甲基上的氢原子互为等效;处于镜面对称位置的碳原子上的氢原子互为等效;特别适合于环状化合物异构体书写。
例1.写出联二苯的一氯取代物。分析:分析物质对称性并进行编号。

说明联二苯中只有A、B、C三个碳原子上的位置不同,则联二苯的一氯代物有三种,分别为:

2.转换法
例1.写出苯环上连有四个甲基的异构体。
分析:依据教材知识,二甲苯有三种形式,

可将二甲苯中两个甲基换为2个氢原子,其余四个碳上的氢原子换为甲基,便可得题目所求异构体:

3.移位法
例3.写出与
互为同分异构体且含有苯环,又属于酯类化合物的结构简式。
分析:属于酯类化合物,结构中必含
,且
不能直接连接在氢原子上,故可对题给结构中有关原子或原子团的位置作相应变动即可。


故:题目所求同分异构体有六种,它们分别是:

(二)碳链异构书写规律
碳链异构的书写顺序应遵循:主链由长到短,支链由整到散,位置由心到边,排布由邻到间,后三句是指支链的大小、支链的移动及排布形式,或参考“成直链一线穿,从头摘、挂中间,往边排、不到端”的口诀书写,要注意思维有序,谨防重复和遗漏。
例、请写出C7H16的所有同分异构体
⑴ 先写最长的碳链:

⑵ 减少1个C,找出对称轴,依次加在第②、③ ……个C上(不超过中线):

⑶ 减少2个C,找出对称轴:
① 组成一个-C2H5,从第3个C加起(不超过中线):

② 分为两个-CH3
a 两个-CH3在同一碳原子上(不超过中线):


b 两个-CH3在不同的碳原子上:


⑷ 减少3个C,取代基为3个-CH3(不可能有-C2CH3)

欢迎订阅网站动态,手机扫一扫就可以。
欢迎使用化学自习室APP,扫码就可下载。醇酚醚醛酮都含有电负性大的氧原子,其水溶性却有不同,分别是: 低级醇(如甲醇、乙...
一、鉴别原则 (1)一般选择能产生“有色沉淀、颜色变化、气体”的特征化学反应进行鉴别...
一、单烯烃及单炔烃 1.命名步骤 1)选主链 将含有碳碳双键或碳碳三键的最长碳链作为主...
一、 甲烷 1、状态: 烷烃常温下存在的状态由气态逐渐过渡到液态、固态。当碳原子数小...
近几年的髙考有机化学试题中,经常出现消耗 NaOH、H2、Br2、Na、H2O等物质的最大物质...
一、等效氢法 要点:①同—C上的H是等效的;②同—C上所连的—CH上的H是等效的;③同...